Туполев Р-6 Многоцелевой разведчик лёгкий бомбардировщик
![]() |
История этого самолёта начинается в 1926 году с приказа, пришедшего в АГОС ЦАГИ. Согласно постановлению, конструкторской бригаде, выделенной из КБ Туполева, предписывалось создать уменьшенную копию бомбардировщика ТБ-1, который ещё не успели освоить в серийном производстве. Самолёт заказывался многовариантным – вначале хотели сделать из него тяжелый истребитель сопровождения, но уже в августе 1927 года (после показа проекта руководству ВВС) специализацию изменили на разведчик и лёгкий бомбардировщик. Соответственно, ему было присвоено обозначение Р-6, однако сам Туполев с таким поворотом дел был полностью не согласен. Главный конструктор продолжал настаивать на дальнейшей разработке самолёта в качестве истребителя и ВВС, в общем, согласились с ним, однако на практике опробовать Р-6 в чисто истребительном варианте так и не удалось.
Специализацию “разведчик” для Р-6 оставили без изменений, но при этом военные довели требования по максимальной бомбовой нагрузке с 588 до 725 кг. 9 ноября 1927 года были выдвинуты обновленные требования к самолёту. Согласно ТТЗ Р-6 должен был иметь экипаж из пять человек, бомбовую нагрузку 890 кг и вооружение из восьми 7,62-мм пулёметов. По подсчетам КБ, после такой модернизации самолёт заметно увеличивался в размерах и терял достаточно много скорости, которая снижалась до 160 км\ч. Естественно, ни о каком применении Р-6 в качестве истребителя не могло быть и речи.
Так начался новый этап по борьбе Туполева за право делать такой самолёт, каким он ему представлялся в самом начале проектирования. Конструктору, частично, удалось отстоять свои идеи и, в результате, УВВС согласилось принять альтернативный (или компромиссный) вариант машины. 10 декабря 1927 года был утвержден очередной проект Р-6, в соответствии с которым он становился четырёхместным многоцелевым самолётом (собравшем в себе функции истребителя-сопровождения, разведчика и среднего бомбардировщика) с максимальной бомбовой нагрузкой 725 кг. В качестве двигательной установки планировали использовать лицензионные моторы Hispano-Suisa (450\520 л.с.), или BMW IV, или Gnome-Ron “Jupiter”. Оборонительное вооружение оставили без изменений, только добавив подфюзеляжную башню, для защиты нижней полусферы. Макет сдали приемной комиссии 19 марта 1928 года и, после некоторых доработок, в июне утвердили окончательный облик Р-6.
Первый опытный Р-6 построили в начале 1929 года. Заводские испытания, проходившие в конце зимы, прошли достаточно успешно, но на государственных выявились весьма значительные недостатки разведчика. Заказчика очень расстроили низкие характеристики самолёта, касавшиеся его недостаточной скорости и скороподъёмности. Дальность полёта оказалась недостаточной, а по маневренности Р-6 вряд ли мог тягаться с аналогичным ему истребителем. Всего выявили 73 различных дефекта в конструкции самолёта, после чего Р-6 оправили обратно в ЦАГИ для устранения дефектов.
По плану строительства в 1929-1930 гг. завод №22 должен был выпустить 10 самолётов, а за три следующих месяца нового года – ещё 17. В реальности же до конца 1931 года удалось выпустить всего две серии Р-6 по 5 и 10 разведчиков соответственно. Два первых самолёта в строевые части не передавались – их использовали только для испытаний. Головной Р-6 надлежало выпустить и полностью вооружить к 7 сентября 1931 года, внеся в него все доработки, предложенные военными. Самолёт сдали, в общем, в срок, однако спешка при его постройке на пользу не пошла.
Первый серийный Р-6 оснащался немецкими двигателями BMW VI, прицелом Герц Фл 110 и системой сброса бомб Сбр-8. Бомбы размещались только на внешней подвеске на держателях Дер-7. Вооружение разведчика состояло из двух пулемётов ДА на турели Тур-5 в носовой части фюзеляжа и ещё одного ДА в подфюзеляжной башне ЦКБ-39. После успешных испытаний на Р-6 решили установить двигатели М-17 и самолёт с такой мотоустановкой начал проходить испытания с 3 ноября 1931 года. С советскими, постоянно перегревающимися, моторами вес самолёта возрос на 126 кг, скорость снизилась на 13 км\ч, потолок – на 1000 метров. Помимо этого все варианты Р-6 имели недостаточную поперечную устойчивость, плохой обзор для пилота прямо-вперёд и большие нагрузки на штурвал. Тем не менее, серийное производство решено было продолжить, внеся в конструкцию разведчика ряд существенных изменений. В частности, предполагалась замена моторов на более новые М-32 и М-34, но в итоге эти планы так и остались на бумаге.
Большую часть из 15 первых серийных самолётов попали в ВВС только весной 1932 года, оставив 4 из них для испытаний на заводе-изготовителе. Всего же завод № 22 выпустил 45 Р-6 пяти серий , после чего выпуск разведчиков перевели на завод №31. Серийное производство Р-6 там наладить долго не удавалось, в следствии чего шестая (и все последующие серии) начали строить на нём лишь с 1933 года. До начала 1934 года завод сдал 50 самолётов, большинство которых передали дальневосточные эскадрильи.
В 1932 году появился поплавковый вариант разведчика – Р-6а. На него установили поплавки от ТБ-1 и провели ряд работ, направленных на доводку машины до уровня морского разведчика. Испытания, начавшиеся 30 декабря, закончились в конце марта 1933 года и новый разведчик поставили на конвейер под обозначением МР-6а. По отзывам пилотов, по сравнению с западными аналогами, МР-6а не обладал положенной устойчивостью и мореходностью, но выгодно отличался большей маневренностью на воде и в воздухе и меньшим расходом горючего, чем у обычного Р-6. В конце 1933 года МР-6а направили в 19-ю МРАЭ и 51-й АО ВВС Балтфлота, ранее летавших на итальянских летающих лодках S-62bis и немецких Do “Val”. Ближе к лету 1934 года МР-6а попали и на Тихоокеанский Флот – эти самолёты ввели в состав 30-й КРАЭ.
Почти одновременно с ним на испытания поступил новый вариант разведчика – КР-6 (Крейсер-Разведчик-6). По замыслу в его задачи входила как разведка, так и непосредственное сопровождение групп бомбардировщиков, для чего запас топлива довели до 3000 литров, а запас масла – до 250 литров, что позволило увеличить дальность полёта. Боекомплект носовых ДА теперь составлял 20-24 диска, причем подфюзеляжная башня демонтировалась. Кроме этого внешне КР-6 отличался новым горизонтальным оперением и новой формой мотокапотов. Систему бомбосброса заменили на Сбр-9. В апреле 1934 года КР-6 испытывался с лета 1934 года, после чего провели сравнительные испытания морской модификации КР-6а с немецкими моторами. Серийно хотели строить обе варианта, но в основном выпускали первый. Общий выпуск КР-6 составил около 222 самолёта, включая 72 самолёта КР-6а.
Весьма любопытными были эксперименты по установке на Р-6 тяжелого пушечного вооружения. В 1930 году, ещё до начала серийного строительства разведчика, на него планировали установить 37-мм пушку Гочкис или танковое поолуавтоматическое 20-мм орудие, но, из-за низких баллистических характеристик и сильной отдаче при стрельбе, их признали непригодными для установки даже на такой тяжёлый самолёт как Р-6. Тогда начали рассматривать варианты с авиационными пушками Erlikon F и L калибра 20 мм, которые производились в Швейцарии, хотя до постройки разведчика с подобной орудийной установкой дело тоже не дошло.
В середине 30-х годов на Р-6 отрабатывали подвеску и применение химического оружия. В частности под самолёт подвешивались бомбы типа Г-54, Г-58 (бактериологическая) и Г-59 (в состав её компонентов входило 300 мелких термитных бомб). В строевые части “химические” Р-6 не поступали.
Так получалось, что в процессе эксплуатации Р-6 почти всегда проигрывал разведчикам бипланной схемы. Созданный в 1935 году поплавковый торпедоносец КР-6а-Т (позднее его доработали и переименовали в КР-6Т) на вооружение не приняли отчасти по причине его недостаточных ТТД, отчасти – из-за того, что в строю уже имелись Р-5Т. В массовых количествах Р-6 появились в 1933 году, а КР-6 – в 1935 году. Но их практически сразу стали переводить в части резерва или отправлять на склады. Моральная и техническая устарелость самолёта была ясна уже тогда. На 31 декабря 1937 года в частях все ещё находилось 227 разведчиков разных модификаций и 81 поплавковый самолёт. К 1 апреля 1940 года их число сократилось до 171 самолёта и, в октябре, по приказу руководства ВВС, последние 116 разведчиков Р-6\КР-6 вывели из частей первой линии. Полки и эскадрильи, сдавшие свои Р-6, получали взамен бипланы Р-Z или более современные Р-10.
Переоборудованные разведчики впервые поступили в гражданскую авиацию ещё в 1935 году. В октябре первые два самолёта продали Дальстрою НКВД для выполнения курьерской работы, где им присвоили обозначения МП-6 (поплавковый Р-6а) и ПС-7 (Р-6 на колёсном шасси). Эти обозначения, впоследствии, присваивались всем самолётам, переведённым в ГВФ. Несколько раньше, в середине 1933 года, из Р-6 переработали под гражданские стандарты, убрав с него всё военное оборудование и оснастив пассажирской кабиной на семь человек. Экипаж сократили до пилота и штурмана, а вместо советских М-17 самолёт вновь получил моторы BMW VI. Переименованный в АНТ-7 самолёт передали в ГУАП где его благополучно разбили 5 сентября 1933 года. Больше создать чисто гражданскую машину из Р-6 попыток не делалось.
Зато бывшие Р-6 и Р-6а, можно сказать, “нашли себя” летая в составе ГВФ и подобных ему структурах. Самолёты летавшие на севере страны получили индексы “Н”. Машины Н-29 и Н-162 вылетали на ледовую разведку и выполняли транспортные функции, а Н-166 отличился при спасении экспедиции Папанина. В первом вылете 21 марта 1938 года экипаж П.Г. Головина взял с собой 23 человека, а всего было эвакуировано 80.
Два КР-6 переделали под стандарт ПС-7 “лимузин”, оборудовав их пассажирской кабиной. На 1939 год ГВФ располагал 21 самолётом ПС-7.
С началом Второй Мировой Войны эскадрильи ВВС РККА располагали очень небольшим количеством разведчиков типа Р-6 и КР-6. Ни в Испании, ни в Монголии эти самолёты не летали по причине устарелости конструкции и, как следствие, невозможности использования этих разведчиков в качестве полноценных боевых самолётов . К моменту войны с Финляндией по два Р-6 находилось в составе 10, 24 и 50-го БАПов. Их использовали, в основном, для транспортных целей, хотя более конкретном их применении известно очень немногое.
К июню 1941 года Р-6 и КР-6 остались считанные единицы. В целях пополнения значительно поредевших в первые месяцы войны авиационных подразделений старые разведчики стали изыматься со складов и авиашкол. Осенью 1941 года на Балтике была образована 2-ая АГ под командованием И.Т. Мазурука. В состав группы входило четыре самолёта которые вылетали на ледовую разведку. До окончания их эксплуатации (в начале 1943 года) была потеряна всего одна машина – её разбили при вынужденной посадке 25 июня 1942 года.
Наиболее крупным соединением времен войны, в котором эксплуатировались бывшие разведчики Р-6, стал корпус ВДВ, дислоцированный на Калининском фронте. В его состав входили, кроме планеров А-7 и Г-11, масса самых разнообразных самолётов, начиная от старых СБ и заканчивая относительно новыми Ил-4. В их число попали и Р-6, набранные вместе с СБ большей частью из Саратовской Военно-Планерной Школы. Когда бригада была полностью набрана и перебазирована на аэродром Энгельс, оказалось, что самолётов типа Р-6 и КР-6 составляет аж 43 экземпляра. Работа для них подобралась самая разннообразная. Часть Р-6 и СБ вначале задействовали в операции “Антифриз”, продолжавшейся с 12 по 16 ноября 1942 года. Самолёты буксировали планеры в которых находились ёмкости с охлаждающей жидкостью прямо на аэродромы под Сталинградом. Затем, вплоть до лета 1944 года, Р-6 активно стали применяться для обеспечения снаряжением партизанских групп на территории оккупированной Беларуси. Для этих целей выделили аэродромы Бегомль и Селявщина, откуда самолёты таскали планеры и сами перевозили различные грузы. О боевых потерях Р-6, участвовавших в подобных вылетах, на данный момент есть только один достоверный факт – в марте 1943 года самолёт Г. Чепика был подожжен немецким истребителем, но пилот сумел посадить израненную машину “на брюхо”, успев перед этим отцепить буксируемый планер.
В 1942 году с аэродрома Куляб на фронт отправили ещё один самолёт. Эта машина представляла собой обычный ПС-7 на который, в целях экономии времени и средств (а также из-за полного отсутствия запчастей к нему), установили колёса от ПС-9 и аммортизаторы от трофейного Ju-52\3m, переправленного в Среднюю Азию.
Дольше всех ПС-7 и Р-6 использовали 87-ой ОТрАП и 234 АО. Первый принимал активное участие в боевых действиях, перевезя за время боевых действий 12688 человек и 1057,7 тонн груза потеряв при этом два самолёта в боях. 234-ый отряд обслуживал строителей в Сибири и на Дальнем Востоке и сдал свои самолёты только в начале 1946 года.
На сегодняшний день совершенно нет информации о самолётах Р-6, доставшихся противнику в качестве трофеев. Советские источники об этом факте умалчивают, но на немецких фотографиях, датированных 1941 годом, ясно видны брошенные на аэродромах разведчики. Один из таких снимков представлен ниже. Как можно видеть, этот Р-6 был оставлен практически неповрежденным. Трудно сказать, как сложилась их судьба дальше, но можно предположить, что Luftwaffe не имели никакого желания использовать их даже для вспомогательных целей, и проявили к этим старым самолетам интерес как к чудом сохранившимся раритетам. По всей видимости, все захваченные Р-6 и КР-6 были разобраны на металл в том же году.
Источники:
В.Н.Шунков «Красная Армия». Москва. АСТ \ Минск. Харвест. 2003
В.Р.Котельников «Туполевский «крейсер» («Авиация и Космонавтика» 1998-10)
В.Р.Котельников ««Крейсер» Р-6 (КР-6)» («Авиаколлекция» 2012-11)
М.Солонин «Куда улетели сталинские соколы?» («АвиаМастер» 2002-01)
В.Ригмант «Под знаками «АНТ» и «ТУ»» («Авиация и Космонавтика» 1997-10)
М.Маслов «Первые на Северном полюсе» («Мир Авиации» 1999-04)
Чертежи и схемы разведчика Р-6:
лист 1,
лист 2,
лист 3,
лист 4,
лист 5,
лист 6,
лист 7,
лист 8
Эволюция разведчика Р-6 и «крейсера» КР-6:
лист 1,
лист 2,
лист 3
Тактико-технические данные самолётов Р-6 и КР-6
| Р-6 1932 г. | КР-6 1934 г. | |
| Длина, м | 14,75 | 14,70 |
| Размах крыла, м | 23,20 | 23,20 |
| Площадь крыла, м | 80,00 | 80,00 |
| Высота, м | 4,95 | 4,95 |
| Масса пустого, кг | 3865 | 3890 |
| Масса взлётная, кг | 6472 | 6480 |
| Скорость макс., км\ч | 230 | 240 |
| Скорость у земли, км\ч | ? | 226 |
| Скорость крейс., км\ч | 202 | ? |
| Дальность, км | 800 | 1680 |
| Потолок, км | 5620 | 5620 |
| Двигатель, тип\л.с. | два рядных М-17Ф, 715 л.с. | два рядных М-17Ф, 715 л.с. |
| Экипаж, чел | 4 | |
| Стрелковое вооружение, тип\калибр | пять турельных пулемётов ДА | |
| Бомбовая нагрузка | 500 кг | |
aviarmor.net
КР-6 Википедия
Р-6 (АНТ-7) — советский многоцелевой самолёт (разведчик, трёхместный истребитель дальнего сопровождения, бомбардировщик и торпедоносец).
Конструкция самолёта родственна ТБ-1 (АНТ-4).
История появления
В середине 1920-х годов имела хождение теория о необходимости наличия «воздушного крейсера для дальних самостоятельных полётов в тыл противника». На основе схемы и конструкции ТБ-1 появилась возможность создать подобный самолёт с теми же двигателями, но меньших размеров и массы. При двух двигателях BMW-VI (500/730 л. с.) он был близок по скорости к одномоторным истребителям- бипланам того времени. Опытный экземпляр был выпущен 11 сентября 1929 года, но испытания — после доводок и доделок — были начаты в мае 1930 года.
Серийное производство
После испытаний и доводок самолёт был запущен в серию как самолёт дальней разведки, сопровождения бомбардировщиков и воздушного боя. Головной самолёт с двигателями М-17 вышел на государственные испытания 5 октября 1931 года. После выпуска 45 экземпляров на заводе № 22 (Москва) в 1932 году производство было передано на завод № 31 (Таганрог) где так же производились и поплавковые версии Р-6.
В 1934 году производство Р-6 под маркой КР-6 вернулось в Москву и продолжалось до 1935 года. Всего было выпущено свыше 400 самолётов.
Экипаж — 4 человека, в том числе один стрелок в выдвижной вниз поворотной башне. Вооружение 5 пулемётов ДА, держатели Дер-7 для небольших бомб и Сбр-8.
Эксплуатация
К 1936 году самолёт как военный устарел и стал передаваться в больших количествах в Аэрофлот и Главсевморпуть где он широко эксплуатировался под маркой ПС-7 — 2 двигателя М17 и МП-6 — 2 двигателя М-17 (поплавковый вариант). Коммерческая нагрузка обоих была 700 кг. В ВВС Р-6 использовался в 1936-38 годах как тренировочный и позднее как транспортный — вплоть до 1944 года.
Модификации
- Р-6 — модификация для проведения разведки и сопровождения бомбардировщиков, первый полёт в 1930 году
- Р-6Л («Лимузин») — вариант серийного с закрытой кабиной в форме невысокой надстройки фюзеляжа с остеклением и входной дверью на правом борту. Самолёт 9-местный (из них 7 пассажиров), оборудован багажным отсеком. Был выпущен в одном экземпляре в июле 1933 года. Разбился в сентябре 1933 года из-за плохих погодных условий.
- МР-6 «Морской разведчик шестой» — самолёт Р-6 на поплавках типа «Ж» выпускался в 1932—1934 годах на заводе в Таганроге. Поскольку поплавки были такими же как и у ТБ-1, самолёт был очень сложен при посадке. При испытаниях самолёта было потеряно три машины. Применялся в ГВФ и НКПС под маркой МП-6. Пилот Л. Г. Крузе выполнил на этом самолёте первую аэрофотосъёмку части тайги, по которой позже прошла трасса Байкало-Амурской магистрали. Для тех лет это была сверхсовременная технология[3].
- КР-6 2М-17 «Крейсер» — после прекращения выпуска МР-6 в Таганроге его производство возобновили в Москве под новым названием. Кроме того в конструкцию был внесён ряд изменений — введены посадочные щитки и зализы между крылом и фюзеляжем, убрана выдвижная башня, тормозные колёса и др. «Крейсер» выпускался в 1934—1935 годах.
- ПС-7 — гражданский самолёт ПС-7 (для перевозки грузов и пассажиров), сначала был с открытой кабиной, но позже начали делать с закрытой. Кабины лётчика и бортмеханика были в передней части самолёта, пассажирский салон вместимостью 8—10 пассажиров. Самолёты летали со скоростью 170—180 км/ч[4].
- П-6 — гражданский самолёт (для перевозки грузов и пассажиров).
Роль в истории
- Рекорды
- Пилот Л. Г. Крузе на гидромодификации МР-6 с номером СССР Ж1 в 1936 году совершил рекордный для того времени перелёт Ленинград-Иркутск-Нордвик на расстояние около 10 000 км[5]
- На самолёте Р-6 лётчик П. Г. Головин выполнил первый полёт над Северным полюсом перед посадкой там остальных самолётов полюсной экспедиции в 1937 году.
С использованием крыла и оперения самолёта были созданы самолёты АНТ-9 (пассажирский) и АНТ-8 (МДР-2) («летающая лодка»).
П-6 (АНТ-7) в музеях
По сообщениям прессы, в 2005 году в Киеве закончилась реставрация найденного в 1980-х годах П-6[6]. Согласно информации прессы, он не экспонируется на открытой площадке музея в Национальном авиационном университете Украины, а хранится в учебном ангаре.
Использовавшие страны
- Военные операции
- СССР СССР
- Гражданская авиация
- СССР СССР
Тактико-технические характеристики
Приведены данные второго прототипа, головного Р-6.
Источник данных: Шавров, 1985; Gunston, 1995.
- Технические характеристики
- Лётные характеристики
- Максимальная скорость:
- у земли: 240 км/ч
- на высоте: 212 км/ч на 5000 м
- Посадочная скорость: 110 км/ч
- Практическая дальность: 1680 км
- Практический потолок: 5620 м
- Время набора высоты: 5000 м за 39,3 мин
- Нагрузка на крыло: 76,6 кг/м²
- Тяговооружённость: 121 Вт/кг
- Вооружение
- Стрелково-пушечное: 5 × 7,62 мм пулемётов ДА
- Боевая нагрузка: 790 кг
Примечания
Литература
Ссылки
wikiredia.ru
Курсовая работа по травматологии (полная) — 2003 г. / КР 6
Занятие 6 Тема: Переломы позвоночника и таза
Вынос и вывоз пострадавших с повреждениями позвоночника
из шахт, придорожных кюветов
Укладывать пострадавшего в строго горизонтальном положении (на спине или на животе) и исключать возможность производить сгибательные движения
Вынос пострадавшего одним человеком – переносящий может взять больного под мышки таким образом, чтобы тот лёг на его спину. При естественном сгибании носильщика вперёд позвоночник пострадавшего будет сгибаться назад.
Вынос пострадавшего двумя носильщиками – пострадавший лежит на животе, один носильщик берёт его за грудную клетку, а второй – за ноги, при этом в пути больной сгибается назад.
Перенос на плащ-палатке, одеяле или пальто (шинели) параллельно пострадавшему, который лежит на животе.
Доставка больных на обычных жёстких или мягких носилках без поперечных перекладин у головного и ножного концов.
В горной промышленности и на кораблях лучше всего пользоваться носилками Wicka, которые дают возможность положить пострадавшего на спину с согнутыми в тазобедренных и коленных суставах ногами, т.е. придать ему полусидячее положение. Это позволяет переносить его по узким и извилистым проходам (клеть в шахте, винтовая лестница и др.). С помощью этих носилок пострадавшего можно ставить и вертикально.
Транспортировка пострадавших с переломами позвоночника и таза
Транспортная иммобилизация при повреждении позвоночника:
Цель: Устранение подвижности повреждённых позвонков во время транспортировки, разгрузки позвоночника и надёжной фиксации области повреждения.
Т
ранспортировка
пострадавшего с повреждением позвонков
всегда представляет опасность ранения
сместившимся позвонком спинного мозга.
Иммобилизацию при повреждении нижнегрудных
и верхних поясничных позвонков проводят
на носилках в положении пострадавшего
на животе с подкладыванием под грудь и
голову подушки или свёрнутой одежды
для разгрузки позвоночника. Если носилки
оборудованы как жёсткие (щит, фанерные
шины, лист фанеры и др.), на настил
укладывают свёрнутое в несколько слоёв
одеяло, а на него лицом вверх кладут
пострадавшего. Укладку больного на
носилки должны выполнять 3-4 человека!
Транспортная иммобилизация при повреждении таза:
Пострадавшего укладывают на жёсткие носилки, придав ему положение «положение лягушки»: ноги слегка сгибают в коленях и тазобедренных суставах, колени разводят, бёдра ротируют кнаружи, стопы сближают с полусогнутыми и слегка разведёнными ногами, что приводит к расслаблению мышц и уменьшению болей. В подколенные области подкладывают валик: одеяло, одежда, свёрнутая подушка и др.


Алгоритм этапной помощи при переломе позвоночника
Первая медицинская помощь:
2-3 таблетки анальгина
уложить на щит на спину
согреть
эвакуация
Доврачебная помощь:
Ввести анальгетики в/м
Иммобилизация
Эвакуация
Первая врачебная помощь:
оценка состояния по Колесникову
ввести анальгетики в/м
новокаиновая блокада места перелома
на носилки со щитом
валик под место перелома
эвакуация
Квалифицированная помощь:
оценка состояния по Колесникову
ввести анальгетики в/м
новокаиновая блокада места перелома
рентгенография
выбор метода лечения
Способы лечения переломов позвоночника:
Одномоментная репозиция с последующим наложением корсета при клиновидной компрессии тела позвонка (метод Уотсона-Джонса-Белера)
Функциональный метод — вытяжение на щите — при небольшой степени компрессии и отсутствии сдавления спинного мозга
Метод одномоментной репозиции
Оперативное — задняя фиксация позвоночника — при неосложнённых флексионных переломах тел позвонков
Лечение перелома и вывиха шейных позвонков — вытяжение петлёй Глиссона; при флексионном переломе под спину до основания шеи подкладывают валик; при экстензионном — под голову; на 5-7-е сутки вытяжение заменяют корсетом
Алгоритм этапной помощи при переломах таза
Первая медицинская помощь:
Обезболивание
Иммобилизация на щите, валик под место перелома
Согреть
Эвакуация
Доврачебная помощь:
Оценка состояния
Обезболивание
Транспортировка на щите в положении «лягушки»
Первая врачебная помощь:
Обезболивание — промедол 2% — 1 ml
Внутритазовая блокада по Школьникову-Селиванову – 0,25% раствор новокаина в количестве до 300 мл с каждой стороны
Борьба с шоком
Переливание крови, кровезаменителей
Контроль АД
Катетеризация или пункция мочевого пузыря
Квалифицированная помощь:
Рентгенография
При необходимости – внутритазовая блокада
Симптоматическое лечение
Контроль АД
При необходимости дальнейшая транспортировка
Специализированная помощь:
Лечение скелетным вытяжением
Оперативное лечение разрывов симфиза
Репозиция
Остеосингтез, при неудачной репозиции
Симптоматическое лечение
30
studfiles.net
КР-6 Вики
Р-6 (АНТ-7) — советский многоцелевой самолёт (разведчик, трёхместный истребитель дальнего сопровождения, бомбардировщик и торпедоносец).
Конструкция самолёта родственна ТБ-1 (АНТ-4).
История появления[ | код]
В середине 1920-х годов имела хождение теория о необходимости наличия «воздушного крейсера для дальних самостоятельных полётов в тыл противника». На основе схемы и конструкции ТБ-1 появилась возможность создать подобный самолёт с теми же двигателями, но меньших размеров и массы. При двух двигателях BMW-VI (500/730 л. с.) он был близок по скорости к одномоторным истребителям- бипланам того времени. Опытный экземпляр был выпущен 11 сентября 1929 года, но испытания — после доводок и доделок — были начаты в мае 1930 года.
Серийное производство[ | код]
После испытаний и доводок самолёт был запущен в серию как самолёт дальней разведки, сопровождения бомбардировщиков и воздушного боя. Головной самолёт с двигателями М-17 вышел на государственные испытания 5 октября 1931 года. После выпуска 45 экземпляров на заводе № 22 (Москва) в 1932 году производство было передано на завод № 31 (Таганрог) где так же производились и поплавковые версии Р-6.
В 1934 году производство Р-6 под маркой КР-6 вернулось в Москву и продолжалось до 1935 года. Всего было выпущено свыше 400 самолётов.
Экипаж — 4 человека, в том числе один стрелок в выдвижной вниз поворотной башне. Вооружение 5 пулемётов ДА, держатели Дер-7 для небольших бомб и Сбр-8.
Эксплуатация[ | код]
К 1936 году самолёт как военный устарел и стал передаваться в больших количествах в Аэрофлот и Главсевморпуть где он широко эксплуатировался под маркой ПС-7 — 2 двигателя М17 и МП-6 — 2 двигателя М-17 (поплавковый вариант). Коммерческая нагрузка обоих была 700 кг. В ВВС Р-6 использовался в 1936-38 годах как тренировочный и позднее как транспортный — вплоть до 1944 года.
Модификации[ | код]
- Р-6 — модификация для проведения разведки и сопровождения бомбардировщиков, первый полёт в 1930 году
- Р-6Л («Лимузин») — вариант серийного с закрытой кабиной в форме невысокой надстройки фюзеляжа с остеклением и входной дверью на правом борту. Самолёт 9-местный (из них 7 пассажиров), оборудован багажным отсеком. Был выпущен в одном экземпляре в июле 1933 года. Разбился в сентябре 1933 года из-за плохих погодных условий.
- МР-6 «Морской разведчик шестой» — самолёт Р-6 на поплавках типа «Ж» выпускался в 1932—1934 годах на заводе в Таганроге. Поскольку поплавки были такими же как и у ТБ-1, самолёт был очень сложен при посадке. При испытаниях самолёта было потеряно три машины. Применялся в ГВФ и НКПС под маркой МП-6. Пилот Л. Г. Крузе выполнил на этом самолёте первую аэрофотосъёмку части тайги, по которой позже прошла трасса Байкало-Амурской магистрали. Для тех лет это была сверхсовременная технология[3].
- КР-6 2М-17 «Крейсер» — после прекращения выпуска МР-6 в Таганроге его производство возобновили в Москве под новым названием. Кроме того в конструкцию был внесён ряд изменений — введены посадочные щитки и зализы между крылом и фюзеляжем, убрана выдвижная башня, тормозные колёса и др. «Крейсер» выпускался в 1934—1935 годах.
- ПС-7 — гражданский самолёт ПС-7 (для перевозки грузов и пассажиров), сначала был с открытой кабиной, но позже начали делать с закрытой. Кабины лётчика и бортмеханика были в передней части самолёта, пассажирский салон вместимостью 8—10 пассажиров. Самолёты летали со скоростью 170—180 км/ч[4].
- П-6 — гражданский самолёт (для перевозки грузов и пассажиров).
Роль в истории[ | код]
- Рекорды
- Пилот Л. Г. Крузе на гидромодификации МР-6 с номером СССР Ж1 в 1936 году совершил рекордный для того времени перелёт Ленинград-Иркутск-Нордвик на расстояние около 10 000 км[5]
- На самолёте Р-6 лётчик П. Г. Головин выполнил первый полёт над Северным полюсом перед посадкой там остальных самолётов полюсной экспедиции в 1937 году.
С использованием крыла и оперения самолёта были созданы самолёты АНТ-9 (пассажирский) и АНТ-8 (МДР-2) («летающая лодка»).
П-6 (АНТ-7) в музеях[ | код]
По сообщениям прессы, в 2005 году в Киеве закончилась реставрация найденного в 1980-х годах П-6[6]. Согласно информации прессы, он не экспонируется на открытой площадке музея в Национальном авиационном университете Украины, а хранится в учебном ангаре.
Использовавшие страны[ | код]
- Военные операции
- СССР СССР
- Гражданская авиация
- СССР СССР
Тактико-технические характеристики[ | код]
Приведены данные второго прототипа, головного Р-6.
Источник данных: Шавров, 1985; Gunston, 1995.
- Технические характеристики
- Лётные характеристики
- Максимальная скорость:
- у земли: 240 км/ч
- на высоте: 212 км/ч на 5000 м
- Посадочная скорость: 110 км/ч
- Практическая дальность: 1680 км
- Практический потолок: 5620 м
- Время набора высоты: 5000 м за 39,3 мин
- Нагрузка на крыло: 76,6 кг/м²
- Тяговооружённость: 121 Вт/кг
- Вооружение
- Стрелково-пушечное: 5 × 7,62 мм пулемётов ДА
- Боевая нагрузка: 790 кг
Примечания[ | код]
Литература[ | код]
Ссылки[ | код]
ru.wikibedia.ru
К140УД6, КР140УД6, КР140УД608 — операционные усилители средней точности с внутренней частотной коррекцией
Что-то не так?
Пожалуйста, отключите Adblock.
Портал QRZ.RU существует только за счет рекламы, поэтому мы были бы Вам благодарны если Вы внесете сайт в список исключений. Мы стараемся размещать только релевантную рекламу, которая будет интересна не только рекламодателям, но и нашим читателям. Отключив Adblock, вы поможете не только нам, но и себе. Спасибо.
Как добавить наш сайт в исключения AdBlockКорпус К140УД6
Корпус КР140УД6
Корпус КР140УД608
Типовая схема включения
Электрические параметры
Предельно допустимые режимы эксплуатации
Зарубежные аналоги
Литература
Микросхемы представляют собой операционые усилители средней точности с высоким усилением, малыми входными токами, внутренней частотной коррекцией и защитой выхода от короткого замыкания. Корпус К140УД6 типа 301.8-2, масса не более 1,3 г., КР140УД6 типа 201.14-1 масса не более 1,1 г, КР140УД608 типа 2101.8-1.
| Типовая схема включения |
|
|
|
Назначение выводов КР140УД6: 1,2,7,8,12,13,14 — свободные; 3,9 — балансировка; 4 — вход инвертирующий; 5 — вход неинвертирующий; 6 — напряжение питания -Uп; 10 — выход; 11 — напряжение питания +Uп; |
|
Назначение выводов К140УД6, К140УД608: 1,5 — балансировка; 2 — вход инвертирующий; 3 — вход неинвертирующий; 4 — напряжение питания -Uп; 6 — выход; 7 — напряжение питания +Uп; |
| 1 | Напряжение питания | 15 В 10% |
| 2 | Выходное напряжение | не менее 11 В |
| 3 | Напряжение смещения нуля | 10 мВ |
| 4 | Входной ток | не более 100 нА |
| 5 | Разность входных токов | не более 25 нА |
| 6 | Ток потребления | не более 4 мА |
| 7 | Коэффициент усиления напряжения | не менее 30000 |
| 8 | Входное сопротивление | 1 мОм |
| 9 | Коэффициент ослабления синфазных входных напряжений | не менее 70 дБ |
| 10 | Скорость нарастания входного напряжения | не менее 0,5 В |
| 11 | Частота единичного усиления | не менее 0,35 МГц |
Предельно допустимые режимы эксплуатации
| 1 | Напряжение питания | (5…18) В |
| 2 | Входное синфазное напряжение | 15 В |
| 3 | Входное дифференциальное напряжение | не более 30 В |
| 4 | Температура окружающей среды | -10…+70 ° C |
Зарубежные аналоги
MC1456P, MC1456CG
Литература
Интегральные микросхемы и их зарубежные аналоги: Справочник. Том 7./А. В. Нефедов. — М.:ИП РадиоСофт, 1999г. — 640с.:ил.
Отечественные микросхемы и зарубежные аналоги Справочник. Перельман Б.Л.,Шевелев В.И. «НТЦ Микротех», 1998г.,376 с. - ISBN-5-85823-006-7
Интегральные микросхемы Справочник. Тарабрин Б.В.,Лунин Л.Ф.,Смирнов Ю.Н. «Радио и связь», 1983 г.,528 с. - ББК 32.844.1 И73
www.qrz.ru
Физика часть 3 вариант 2 / КР6
602. При изучении космического излучения были обнаружены фотоны с длиной волны λ1= 400 Нм λ2= 200 Å.. Найти энергию этих фотонов.
Дано:

Найти:

Решение:
энергия фотонов:

Постоянная планка
скорость света
Ответ:
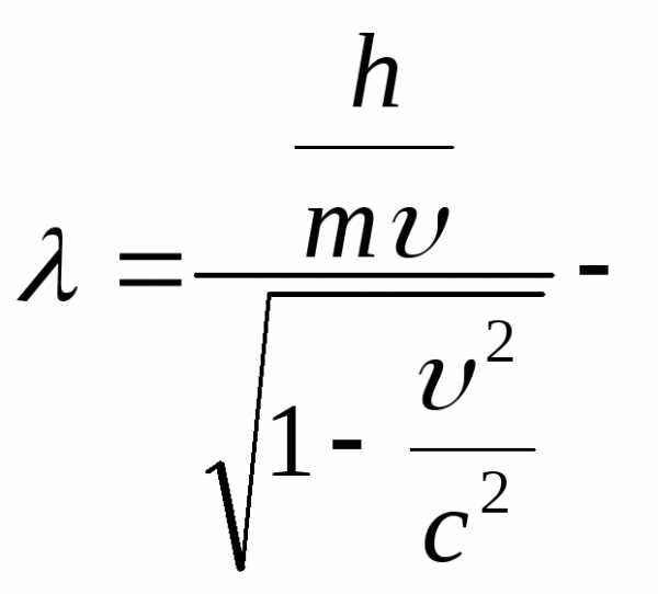
612. Параллельный пучок моноэнергетических электронов падает нормально на диафрагму в виде узкой прямоугольной щели, ширина которой d = 0,06 Нм. Определить скорость этих электронов, если известно, что на экране, отстоящем от щели на расстоянии 4 см, ширина центрального дифракционного максимума составит 10 мкм.
Дано

Найти:

Решение

Ширину центрального максимума считаем до 1 минимума
Условие минимума:
Для первого минимума:
Т.к.
,
то можно считать

Где
длина
волны де Бройля электрона

Ответ:
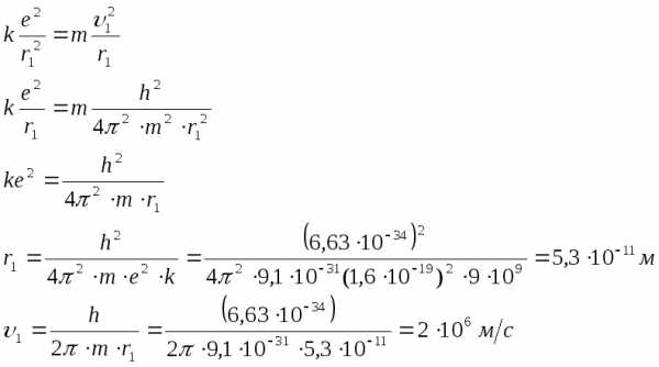
622. Определить, исходя из постулатов Бора, радиусы орбит, скорость электрона на орбите, период вращения электрона по орбите. Рассчитать значения этих величин для случая n= 1.
Дано:
n=1
Найти:

Решение:
Второй постулат Бора
масса электрона
постоянная планка
Заряд ядра +е, вращается электрон под действием силы кулона.

Ответ:
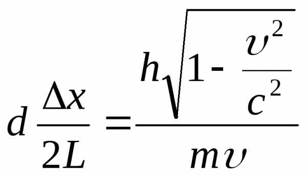
632. Оценить неточность Δx в определении
координаты электрона, движущегося в
атоме водорода со скоростью
,
если точность определения скорости
10%. Сравнить эту неточность с размерами
атома водорода (
= 10,6 Нм).
Дано:
Найти:
Δ x -?
Решение:
Принцип неопределённости Гейзенберга
— неопределённость электрона по импульсу
— постоянная Планка с чертой
Сравниваем
с
размерами атома
Ответ:

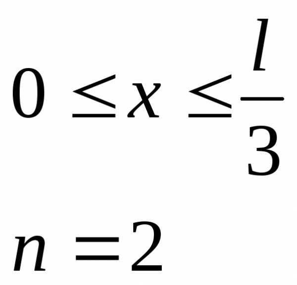
642. Электрон в бесконечно глубокой потенциальной яме находится в состоянии n = 2 . Найти вероятность нахождения электрона в первой трети ямы.
Дано:

Найти:

Решение:
Волновая функция электрона

для состояния с n=2

Вероятность нахождения электрона
Ответ:
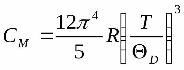
652. Кристалл калия массой m = 0,1 кг нагревают
от температуры
= 4 К на один градус. Определить теплоту
для нагревания, принять характеристическую
температуру Θ Дебая для калия равной
100 К и условие T << Θ выполненным.
Дано:

Найти:
Q — ?
Решение:
Молярная теплоёмкость кристаллического калия в области низких температур

— универсальная газовая постоянная
,
—
количество моль калия
М=0,039
—
молярная масса калия
Ответ:
662. При делении ядра урана с массовым числом М=235 освобождается энергия 200 МэВ. Найти энергию, выделяющуюся при делении ядер урана m=1кг. Какую массу угля нужно сжечь, чтобы получить такую энергию? Удельная теплота сгорания угля 291 мДж/кг.
Дано:

Найти:


Решение:
1) Число N атомов, содержащихся в радиоактивном изотопе

—
постоянная Авогадро
m – масса изотопа
M – молярная масса урана
Значит при распаде всех ядер изотопа выделится энергия Q

2) Найдём массу угля эквивалентную в тепловом отношении 1 кг
Ответ:
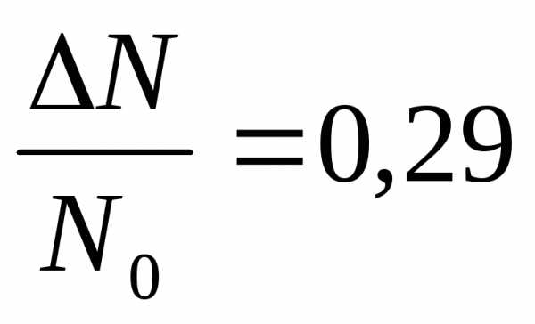
672. Период полураспада изотопа актиния составляет 10 суток. Определить, какая доля этого протока распадается в течение 5 суток.
Дано:


Найти:

Решение:
Закон радиоактивного распада

—
начальное число атомов
— число атомов через время t

Ответ: 
studfiles.net
Серия 2.130.6-КР-1 — Детали кирпичных стен для капитального ремонта и реконструкции жилых зданий.
2.130.6-КР-1 Обложка
2.130.6-КР-1 Титульный лист
2.130.6-КР-1-ИК Информационная карта
2.130.6-КР-1-СС Содержание
2.130.6-КР-1-ПЗ Пояснительная записка
2.130.6-КР-1-СМ Таблица выбора решений по ремонту стен
2.130.6-КР-1-1 Исправление повреждений стен при сквозных трещинах
2.130.6-КР-1-2 Направление повреждений стен при широких трещинах. Кирпичный замок
2.130.6-КР-1-3 Усиление частичного отрыва стен
2.130.6-КР-1-4 Усиление полного отрыва стен по вертикали
2.130.6-КР-1-5 Варианты усиления стен при наличии косой трещины
2.130.6-КР-1-6 Устройство временных креплений при перекладке участков стен. Порядок производства работ
2.130.6-КР-1-7 Детали установки разгрузочных балок в существующих стенах
2.130.6-КР-1-8 Устройство армокирпичного шва
2.130.6-КР-1-9 Устройство металлического пояса
2.130.6-КР-1-10 Устройство железобетонного пояса
2.130.6-КР-1-11 Устройство железобетонных обойм
2.130.6-КР-1-12 Усиление стен стальными тяжами. Порядок производства работ
2.130.6-КР-1-13 Крепление стен напряженными поясами
2.130.6-КР-1-14 Усиление колонны стальной и железобетонной обоймой
2.130.6-КР-1-15 Устройство деформационных швов
2.130.6-КР-1-16 Устройство связей при кладке кирпичных стен в зимнее время
2.130.6-КР-1-17 Временные крепления при ремонте и перекладке простенков
2.130.6-КР-1-18 Усиление простенков металлической обоймой
2.130.6-КР-1-19 Устройство широких проемов в существующих стенах
2.130.6-КР-1-20 Варианты металлических перемычек при устройстве проема в существующей стене
2.130.6-КР-1-21 Усиление железобетонной перемычки при разломе
2.130.6-КР-1-22 Усиление клинчатых перемычек
2.130.6-КР-1-23 Вариант 1 утепления кирпичных стен прикладкой в 1/2 кирпича
2.130.6-КР-1-24 Вариант 2 утепления кирпичных стен прикладкой в 1/2 кирпича
2.130.6-КР-1-25 Усиление углов здания обвязками
2.130.6-КР-1-26 Кладка стен с уширенным швом
2.130.6-КР-1-27 Устройство монтажного проема, при существующей арке
2.130.6-КР-1-28 Устройство арочного проема
2.130.6-КР-1-29 Деталь устройства арочного проема
2.130.6-КР-1-30 Защита углов зданий в арочных проездах
2.130.6-КР-1-31 Установка предохранительных уголков в арочных проездах
2.130.6-КР-1-32 Сопряжение перекладываемой стены с существующими стенами
2.130.6-КР-1-33 Анкеровка карнизных плит к чердачному перекрытию
2.130.6-КР-1-34 Гидроизоляция стен от грунтовой влаги инъекцией раствора ГКЖ-10 (расположение инъекторов)
2.130.6-КР-1-35 Гидроизоляция стен от грунтовой влаги инъекцией раствора ГКЖ-10 (расположение ТЭН’ов)
2.130.6-КР-1-36 Примыкание оконных блоков к боковым граням существующих оконных проемов
2.130.6-КР-1-37 Установка оконных блоков в сохраняемые деревянные коробки
2.130.6-КР-1-38 Схема установки оконных блоков
snipov.net

