КР-6 — Википедия
Материал из Википедии — свободной энциклопедии
(перенаправлено с «»)Текущая версия страницы пока не проверялась опытными участниками и может значительно отличаться от версии, проверенной 22 августа 2016; проверки требуют 7 правок. Текущая версия страницы пока не проверялась опытными участниками и может значительно отличаться от версии, проверенной 22 августа 2016; проверки требуют 7 правок.
Р-6 (АНТ-7) — советский многоцелевой самолёт (разведчик, трёхместный истребитель дальнего сопровождения, бомбардировщик и торпедоносец).
Конструкция самолёта родственна ТБ-1 (АНТ-4).
История появления[ | ]
В середине 1920-х годов имела хождение теория о необходимости наличия «воздушного крейсера для дальних самостоятельных полётов в тыл противника». На основе схемы и конструкции ТБ-1 появилась возможность создать подобный самолёт с теми же двигателями, но меньших размеров и массы. При двух двигателях BMW-VI (500/730 л. с.) он был близок по скорости к одномоторным истребителям- бипланам того времени. Опытный экземпляр был выпущен 11 сентября 1929 года, но испытания — после доводок и доделок — были начаты в мае 1930 года.
Серийное производство[ | ]
После испытаний и доводок самолёт был запущен в серию как самолёт дальней разведки, сопровождения бомбардировщиков и воздушного боя. Головной самолёт с двигателями М-17 вышел на государственные испытания 5 октября 1931 года. После выпуска 45 экземпляров на заводе № 22 (Москва) в 1932 году производство было передано на завод № 31 (Таганрог) где так же производились и поплавковые версии Р-6.
В 1934 году производство Р-6 под маркой КР-6 вернулось в Москву и продолжалось до 1935 года. Всего было выпущено свыше 400 самолётов.
Экипаж — 4 человека, в том числе один стрелок в выдвижной вниз поворотной башне. Вооружение 5 пулемётов ДА, держатели Дер-7 для небольших бомб и Сбр-8.
Эксплуатация[ | ]
К 1936 году самолёт как военный устарел и стал передаваться в больших количествах в Аэрофлот и Главсевморпуть где он широко эксплуатировался под маркой ПС-7 — 2 двигателя М17 и МП-6 — 2 двигателя М-17 (поплавковый вариант). Коммерческая нагрузка обоих была 700 кг. В ВВС Р-6 использовался в 1936-38 годах как тренировочный и позднее как транспортный — вплоть до 1944 года.
Модификации
encyclopaedia.bid
КР_6
Вариант 6
Задание 1. Прочитайте тексты и скажите, к какому функциональному стилю относится каждый из них. Назовите признаки, которые позволили вам определить стиль текста, и подтвердите их наличие примерами из текста.
1. И вот подошла к нам беда: стали кулаками звать. Все у нас забрали: хлеб выгребли, скот угнали, сани, телеги… Даже корыта. Кадки, что солили грузди, – все по себе эти воры растащили. Даже одежду – и ту всю на торгах продали. И оставили нас с бабушкой 96 лет.
2. Буду говорить только о состоянии культуры в нашей стране, и главным образом о гуманитарной, человеческой ее части. Я внимательно изучил предвыборные платформы депутатов. Меня поразило, что в подавляющем большинстве этих программ даже не было слова «культура». Между тем без культуры в обществе нет и нравственности. Без элементарной нравственности не действуют и социальные законы, не выполняются указы, не может существовать современная наука.
Задание 2. Обоснуйте гибридность данного текста. Как называется такое явление?
Илья Сергеич Пеплов и жена его Клеопатра Петровна стояли у двери и жадно подслушивали. За дверью, по-видимому, происходило объяснение в любви.
– Клюет! – шептал Пеплов. – Смотри же Петровна, как только заговорят о чувствах, тотчас снимай со стены образ и идем благословлять… Не отвертится тогда, пусть хоть в суд подает.
– Вовсе я не писал вам писем! – говорил учитель чистописания Щуплов.
– Ну да! Будто я не знаю вашего почерка! – хохотала девица, манерно взвизгивая. – Я сразу узнала! И какие вы странные! Учитель чистописания, а почерк как у курицы!
Задание 3. Разграничьте в следующих примерах гиперболу, олицетворение, перифразу, сравнение.
1. Скоро сам узнаешь в школе, как архангельский мужик по своей и божьей воле стал разумен и велик. 2. Ты – как отзвук забытого гимна в моей черной и дикой судьбе. 3. И тогда обиделось Время и застыли маятники Времени. 4. Солнце русской поэзии закатилось. 5. Одна женщина может быть сильнее тысячи мужчин.
Задание 4. Какие риторические фигуры использованы в следующих примерах (оксюморон, антитеза, парцелляция)?
1. Недоверчивость – мудрость дурака. 2. Джентльмены не говорят о деньгах – джентльмены имеют деньги. 3. Человеку не нужно ничего сверх того, что дала ему природа. За исключением денег.
Задание 5. Прочитайте приведенный ниже фрагмент речи. Определите, какие приемы привлечения внимания использованы в начале (конце) речи.
Именно по состоянию здоровья населения принято судить о степени цивилизованности страны, динамичности развития общества. Физическое, психическое и нравственное здоровье нации является главным капиталом общества. Несостоятельны утверждения, будто нам нужно сначала поднять экономику, а затем думать об охране здоровья россиян. Мы не выйдем из кризиса, если у нас не будет нормальных, физически и умственно полноценных людей! Здоровье нации не может быть ценой политики реформ, а должно стать высшим государственным приоритетом.
Нашему обществу очень не хватает мира и согласия. А может быть, сохранение народа, о чем недавно говорил Александр Исаевич Солженицын, и есть та национальная идея, которая способна объединить всех – и белых, и красных. Ведь все мы – россияне, живем в одной стране, дышим одним воздухом. У нас есть все, чтобы обеспечить человеку достойную жизнь. Нужна лишь политическая воля.
Здесь, наверное, будут высказаны разные точки зрения, но цель у нас одна – улучшить здоровье нации и российское здравоохранение. И я желаю успехов всем участникам слушаний в реализации этой благородной цели!
Задание 6. Определите тип связи в тексте.
Молекулярные цеолитовые сита. Катионы довольно подвижны и обычно могут в той или иной степени обмениваться на другие катионы. Цеолиты являются кристаллическими водными алюмосиликатами, они относятся к группе каркасных алюмосиликатов. Каркасы цеолитов содержат каналы и сообщающиеся между собой полости, в которых находятся катионы и молекулы воды.
Задание 7. Определите способ изложения материала в тексте (индуктивный, дедуктивный, концентрический, исторический, ступенчатый).
Известный ученый Лев Николаевич Гумилев в книге «Этногенез и биосфера Земли» привел серию любопытных примеров. Так, древний афинянин, побывав в Ольвии, с негодованием рассказывал, что скифы не имеют домов, а во время своих праздников напиваются до бесчувствия. Скифы же, наблюдая вакханалии греков, чувствовали такое омерзение, что, однажды увидев своего царя, гостившего в Ольвии, в венке и с тирсом в руках в составе процессии ликующих эллинов, убили его. Рыцари, захватившие Палестину, возмущались арабским обычаем многоженства, а арабы считали бесстыдством незакрытые лица французских дам и т.д. Традиции одного народа (этноса) воспринимались другим как чудачества. Другой же народ считал их единственно возможным способом общежития и вовсе ими не тяготился. Причину этого Л.Н. Гумилев видел в существовании этнического стереотипа поведения.
Задание 8. Определите, какая максима соответствует данному примеру (скромность, вежливость, такт, одобрение, полнота информации).
А вот если из вашей зарплаты или пенсии будут брать деньги на эту помощь, вы и тогда будете «за»?
Задание 9. Определите, к какому виду служебно-делового общения относится следующий фрагмент текста (деловые переговоры, интервью, презентация).
Добрый день, дорогие друзья! Давайте познакомимся: меня зовут…, я работаю в компании Тяньши… и достиг (или надеюсь достичь) здесь… Вы, наверное, сегодня первый раз слушаете информацию о Тяньши? – Я вам по-хорошему завидую: на вашем месте я тоже был … и этот день очень круто изменил мою жизнь к лучшему. Надеюсь, что сегодняшний день многие из вас также запомнят, он станет важной вехой в вашей жизни. Нам предстоит непродолжительная, но напряженная работа. Будьте внимательны! Вопросы оставьте на потом.
Задание 10. Прочитайте рекламные слоганы. Определите, какие языковые средства выразительности в них использованы.
«Пора брать кассу!» (реклама кассовых аппаратов)
«Сядь за руль и обгони ветер!» (реклама автомобилей)
«Бастион» покоряется только хозяину» (реклама дверных замков)
Супербатончик «Финт» – только для тех, кто вправду крут!
«Хрустящее счастье в шоколаде «Кэдбери».
Задание 11. Раскройте скобки и выберите правильное слово из паронимов.
1. (Развитие – развитость) малого бизнеса играет большую роль в экономике. 2. Малый бизнес (благотворно – плодотворно) отразится на нашей экономике. 3. Мы перестанем (боязливо – боязно) смотреть в будущее. 4. (Бракованный – браковочный) товар навсегда уйдет с наших прилавков. 5. Мы хотим (верить – веровать) в достойное будущее.
Задание 12.
В перечисленных ниже словосочетаниях лишние слова вычеркните. Как называется данное явление?Главный приоритет, первый лидер, тоска по ностальгии.
Задание 13. Найдите ошибки, исправьте их и объясните их причину.
1. Мой дядя – прелучшайший и предобрейший человек на свете. 2. Этот костюм мне менее велик, чем тот. 3. Алена гораздо красивше Татьяны. 4. Мой сын так хочет повзрослеть, что тайком от нас броется. 5. Выйдет, бывало, бабушка на крыльцо и кликает нас, ребятишек.
Задание 14. Найдите в предложениях лексические ошибки, исправьте их и запишите ваш вариант предложений.
1. Хозяйка, в одетом на обнаженную шею дорогом ожерелье, привлекала восхищенные взгляды гостей. 2. Ведущий заявил, что, если бы директор сдал финансиста, это было бы подарком всей фирме. 3. Золотой век подарил нам плеяду выдающихся писателей. 4. Ни для кого не секрет, на чем зиждется мафия, но борьба с ней пока не дает видимых успехов. 5. Оконные рамы нашей фирмы обладают в неукоснительным качеством.
Задание 15. В каком словаре может быть помещена следующая словарная статья?
Будний // будничный
Общий корень – будн-; различаются наличием суффикса –ичн— во втором слове.
Будний (разг.) – не праздничный (о времени).
Будничный – постоянно окружающий человека; предназначенный для будней, повседневный, обыденный; прозаический, однообразный.
Будний (-яя, -ее, -ие) день, пора, время.
Будничный (-ая, -ое, -ые) труд, работа, дело, занятие, заботы; одежда, обувь, обстановка, темы.
Задание 16. Вставьте пропущенные буквы. Объясните лексическое значение каждого слова.
Орх…дея, п…л…садник, пан…кёр, п…р…ллель, п…ц…физм, п…р…ферия, п…сс…мизм, пл…гиат, п…лемика, пр…винция.
Задание 17. Вставьте пропущенные буквы. К словам с удвоенными согласными приведите как можно больше производных слов и запишите их.
Тер…ор…, трас…а, цел…офан, агрес…ия, ак…умулятор, ак…омпанемент, ал…ея, ан…отация, ан…улировать, апел…яция, артил…ерия, мас…он.
Задание 18. Расставьте ударения в данных словах. Если возможны варианты, укажите их.
Ветеринария, значимость, возбужденный, звонишь, маркировать, воспроизведенный, избалованный, медикамент, втридорога, исповедание, менеджмент, гастрономия, исподволь, мизерный, генезис.
Задание 19. В каких словах перед е произносится мягкий согласный?
Эффект, интервью, картотека, пионер, синтетика, стенд, температура, фонетика, теннис, тент.
Задание 20. Употребите аббревиатуры с глаголами в форме прошедшего времени, например: ТАСС заявил.
СТО, ТЮЗ, УВД, ЖЭУ, ЧП.
Задание 21. Найдите случаи нарушения лексической сочетаемости в устойчивых словосочетаниях, фразеологизмах и исправьте их.
Сложить руки, сложить ноги, сложить голову, выйти в тираж, попасть в тираж, списать в тираж, искать ветра в поле, ждать ветра в поле.
Задание 22. Найдите речевые ошибки в употреблении фразеологизмов, исправьте их.
1. Я не верю ни единому твоему слову, и нечего втирать мне очки! 2. Все, что сделано нашими дедами и отцами, не должно кануть в лето. 3. Дамоклов узел приближающейся ревизии с неотвратимостью навис над ним, заставляя метаться в поисках выхода. 4. Если ты достиг успеха, то не следует все же долго почивать на лаврах. 5. Музыка была для него книгой за семью печатями, и он никак не мог понять, почему другие восхищаются, слушая оперные арии или симфонические произведения.
Задание 23. Образуйте от следующих существительных форму именительного падежа множественного числа.
Катер, лекарь, веер, ворох, доктор, желоб, договор, клапан, архитектор, корпус, корректор, лацкан, лектор, прожектор, ордер.
Задание 24. Определите род данных существительных. Составьте словосочетания (с прилагательным или глаголом в форме прош. времени).
Штаб-квартира, пресс-атташе, кафе-столовая, театр-студия, платье-костюм, царь-пушка, плащ-палатка.
Задание 25. Образуйте с несклоняемыми существительными словосочетания «прилагательное + существительное».
Атташе, денди, какаду, эмансипе, сопрано, кольраби, мацони, евро, сирокко, хинди, экю, радио, метро, Дюма, мадам.
Задание 26. Раскройте скобки, употребив нужную форму фамилии. Свой ответ мотивируйте.
1. Мексиканские песни в исполнении (Росита Кинтана). 2. Мы купили сказки (братья Гримм). 3. Нас заинтересовала скульптура (Демут-Малиновский). 4. На приеме присутствовали лорд и леди (Гамильтон). 5. Наталья не любила произведения (Эрих-Мария Ремарк).
Задание 27. Запишите словами приведенные в предложениях имена числительные.
1. Царь Леонид с 300 (спартанец) в Фермопильском ущелье прикрывал отступление греческих войск. 2. Коллектив нашего участка обязуется благоустроить 80,3 (процент) подведомственной территории к январю 2001 года. 3. Сообщаю, что вчера в ночь между 11-24 (час) я находилась дома, что может быть подтверждено 3 (соседка). 4. На площади собралось около 400 (человек). 5. Было решено закончить экспедицию через 23 (сутки).
Задание 28. Раскройте скобки. Объясните слитное / раздельное написание.
1. Отец удалён из дому за провинность, (за)то, что как-то на даче летним вечером сделал нечто такое с роялем, (от)чего тот издал совершенно потрясающий звук. 2. Пришедши к возам, он совершенно позабыл, (за)чем пришёл. 3. Больше Кучум уже ни разу не говорил со мной, (по)тому что не произносил слов без нужды. 4. Он пошёл спрятаться в самое отдалённое место в бурьяне; (при)чем не позабыл утащить старую подошву от сапога. 5. Некрасив, безобразен, так тому и быть, но (за)чем всенародно мою физиономию на вид выставлять?
Задание 29. Раскройте скобки. Дайте правильное написание, используя в качестве проверочных слов синонимы.
1. Потому ли, что Жиган отрицал обвинение с необыкновенной горячностью, только Димка решил, что (в)виде исключения на этот раз он не врёт. 2. (На)счет таковой постройки города учреждена особенная комиссия. 3. Была она модницей, щеголихой, но тут (в)виду скорой смерти всё бросила и стала ходить неряхой. 4. Я хотел поговорить с вами (на)счет квартиры. 5. У многих русских рек, (на)подобии(е/и) Волги, один берег горный, другой луговой.
Задание 30. Отредактируйте предложения, устранив ошибки.
1. Прочитав повесть Быкова, меня в первую очередь поразил сам сюжет. 2. Провожая сына на войну, по его щеке медленно катится слеза. 3. Будучи совсем молоденькой девушкой, к Татьяне пришла пора любви. 4. Читая пьесу, Лариса мне очень понравилась. 5. Читая поэму, осознается простая истина, сколько бы человек ни накопил за свою жизнь, важнее всего не растратить те чистые помыслы и благие намерения, ради которых мы стремились, достигая цели.
Задание 31. Перепишите, выберите нужную форму глагола-сказуемого. Объясните свой выбор.
1. Для них несколько столичных фабрик (шьет, шьют) костюмы. 2. В майские дни прошлых лет пресса, в том числе – автор этих строк, всегда (писала, писали) о победе над Германией. 3. Пресса (вспоминали, вспоминала) героев войны. 4. В течение года пять учеников школы (участвовало, участвовали) в олимпиадах единой командой. 5. В районе (строится, строятся) шесть новых домов.
Задание 32. Вместо точек вставьте пропущенные буквы. Объясните, почему в одних случаях пишем Н, в других – НН.
1. И мыслит он, что жизни новой пришла жела…ая пора. 2. От камня, броше…ого в воду, далеко ширятся круги. 3. Униже…ая до конца, страна веселием объята. 4. Люто замороже…ый Петербург горел и бредил. 5. Там – оштукатуре…ое небо.
Задание 33. Объясните слитное или раздельное написание НЕ.
1. (Не)гнетёт немая млечность, (не)тревожит звёздный страх. 2. Однако и бумажки принесли (не)которую пользу. 3. Сначала показался (не)кто рослый, самоуверенный. 4. (Не)смотря на обилие багажа создаётся впечатление, что все эти люди уезжают налегке. 5. Лицо твоё (не)огрубело от ветра. 6. Я начинаю думать, что до сих пор он был просто (не)понят.
Задание 34. Перепишите. Раскройте скобки.
(Полу)сапожки, (пол)яблока, (пол)Америки, (пол)листа, (пол)тарелки, (пол)беды, (пол)жизни, (пол)оборота, (пол)ящика, (пол)Киева.
Задание 35. Перепишите. Раскройте скобки.
(Электро)лампа, (южно)уральский, (поздне)спелый, (северо)западный, (древне)русский, (горно)лыжный, (ветхо)заветный, (дом)музей, (держи)морда, (сине)голубой.
Задание 36. Объясните слитное или раздельное написание наречий.
(Во)обще, (в, во)общем, (в)открытую обманывать, (в)силу привычки, (в)тихомолку, (в)семеро больше, (в)семером, бояться (до)смерти, (крепко)накрепко, (в)конец устал.
Задание 37. Перепишите, вставляя пропущенные буквы. Объясните условия выбора О / Ё.
Печ…т, ж…лоб, сош…л, моч…ный, оглуш…нный, ш…птать, щ…лочь, ж…рдочка, ч…ртовщина, саж…нки, заглуш…н, протяж…нность.
Задание 38. Перепишите, подчеркните чередующиеся гласные в корнях.
Пром…кнул, прекл…нить, к…саясь, ср…внения, разг…релись, р…сла, проск…чит, ск…чу, покл…нившись, г…рящий, тв…рить чудеса, расст…лается, пол…жила, вск…чил, предл…жил, накл…нился, пор…внялась, притв…ряешься.
Задание 39. Вставьте пропущенные буквы, выделите приставки.
И…сякнуть, и…царапанный, и…жаренный, пр…ходящая популярность, (дез-, диз-/дис-)функция, р…спустить косы, глубокое р…здумье, пр…стыдить шалунов, толстый-пр…толстый мужчина, пр…ходящие с опозданием гости, пан…сламизм, пред…юньский, не…нтересный, пед…нститут.
Задание 40. Вставьте, где нужно, Ь. Обоснуйте свой выбор.
Повеселееш…, рож…, что ищеш…, молодёж…, приходиш…, разбереш…, догадаеш…ся, лиш…, потревож…, лож…, зловещ…, несколько крыш…, стоиш…
Задание 41. Объясните смысл русской поговорки «Бранить – себя тешить». Какой коммуникативный закон она иллюстрирует? Аргументируйте свою точку зрения.
Задание 42. Прочитайте фразу. Определите тактику речевого поведения, которую использует говорящий.
Наша компания помогает детским домам: ежегодно перечисляет большую сумму денег, устраивает праздники, приобретает подарки именинникам…
Задание 43. Составьте визитную карточку для знакомства с деловым партнером.
Задание 44. Соблюдая все правила оформления реквизитов документа, напишите от своего имени заявление, расписку, доверенность, служебную записку, объяснительную записку, резюме.
Задание 45. Составьте и напишите деловому партнеру письмо-рекламацию (претензия), используя все реквизиты делового письма.
studfiles.net
КР_6
Вариант 6
Задание 1. Прочитайте тексты и скажите, к какому функциональному стилю относится каждый из них. Назовите признаки, которые позволили вам определить стиль текста, и подтвердите их наличие примерами из текста.
1. И вот подошла к нам беда: стали кулаками звать. Все у нас забрали: хлеб выгребли, скот угнали, сани, телеги… Даже корыта. Кадки, что солили грузди, – все по себе эти воры растащили. Даже одежду – и ту всю на торгах продали. И оставили нас с бабушкой 96 лет.
2. Буду говорить только о состоянии культуры в нашей стране, и главным образом о гуманитарной, человеческой ее части. Я внимательно изучил предвыборные платформы депутатов. Меня поразило, что в подавляющем большинстве этих программ даже не было слова «культура». Между тем без культуры в обществе нет и нравственности. Без элементарной нравственности не действуют и социальные законы, не выполняются указы, не может существовать современная наука.
Задание 2. Обоснуйте гибридность данного текста. Как называется такое явление?
Илья Сергеич Пеплов и жена его Клеопатра Петровна стояли у двери и жадно подслушивали. За дверью, по-видимому, происходило объяснение в любви.
– Клюет! – шептал Пеплов. – Смотри же Петровна, как только заговорят о чувствах, тотчас снимай со стены образ и идем благословлять… Не отвертится тогда, пусть хоть в суд подает.
– Вовсе я не писал вам писем! – говорил учитель чистописания Щуплов.
– Ну да! Будто я не знаю вашего почерка! – хохотала девица, манерно взвизгивая. – Я сразу узнала! И какие вы странные! Учитель чистописания, а почерк как у курицы!
Задание 3. Разграничьте в следующих примерах гиперболу, олицетворение, перифразу, сравнение.
1. Скоро сам узнаешь в школе, как архангельский мужик по своей и божьей воле стал разумен и велик. 2. Ты – как отзвук забытого гимна в моей черной и дикой судьбе. 3. И тогда обиделось Время и застыли маятники Времени. 4. Солнце русской поэзии закатилось. 5. Одна женщина может быть сильнее тысячи мужчин.
Задание 4. Какие риторические фигуры использованы в следующих примерах (оксюморон, антитеза, парцелляция)?
1. Недоверчивость – мудрость дурака. 2. Джентльмены не говорят о деньгах – джентльмены имеют деньги. 3. Человеку не нужно ничего сверх того, что дала ему природа. За исключением денег.
Задание 5. Прочитайте приведенный ниже фрагмент речи. Определите, какие приемы привлечения внимания использованы в начале (конце) речи.
Именно по состоянию здоровья населения принято судить о степени цивилизованности страны, динамичности развития общества. Физическое, психическое и нравственное здоровье нации является главным капиталом общества. Несостоятельны утверждения, будто нам нужно сначала поднять экономику, а затем думать об охране здоровья россиян. Мы не выйдем из кризиса, если у нас не будет нормальных, физически и умственно полноценных людей! Здоровье нации не может быть ценой политики реформ, а должно стать высшим государственным приоритетом.
Нашему обществу очень не хватает мира и согласия. А может быть, сохранение народа, о чем недавно говорил Александр Исаевич Солженицын, и есть та национальная идея, которая способна объединить всех – и белых, и красных. Ведь все мы – россияне, живем в одной стране, дышим одним воздухом. У нас есть все, чтобы обеспечить человеку достойную жизнь. Нужна лишь политическая воля.
Здесь, наверное, будут высказаны разные точки зрения, но цель у нас одна – улучшить здоровье нации и российское здравоохранение. И я желаю успехов всем участникам слушаний в реализации этой благородной цели!
Задание 6. Определите тип связи в тексте.
Молекулярные цеолитовые сита. Катионы довольно подвижны и обычно могут в той или иной степени обмениваться на другие катионы. Цеолиты являются кристаллическими водными алюмосиликатами, они относятся к группе каркасных алюмосиликатов. Каркасы цеолитов содержат каналы и сообщающиеся между собой полости, в которых находятся катионы и молекулы воды.
Задание 7. Определите способ изложения материала в тексте (индуктивный, дедуктивный, концентрический, исторический, ступенчатый).
Известный ученый Лев Николаевич Гумилев в книге «Этногенез и биосфера Земли» привел серию любопытных примеров. Так, древний афинянин, побывав в Ольвии, с негодованием рассказывал, что скифы не имеют домов, а во время своих праздников напиваются до бесчувствия. Скифы же, наблюдая вакханалии греков, чувствовали такое омерзение, что, однажды увидев своего царя, гостившего в Ольвии, в венке и с тирсом в руках в составе процессии ликующих эллинов, убили его. Рыцари, захватившие Палестину, возмущались арабским обычаем многоженства, а арабы считали бесстыдством незакрытые лица французских дам и т.д. Традиции одного народа (этноса) воспринимались другим как чудачества. Другой же народ считал их единственно возможным способом общежития и вовсе ими не тяготился. Причину этого Л.Н. Гумилев видел в существовании этнического стереотипа поведения.
Задание 8. Определите, какая максима соответствует данному примеру (скромность, вежливость, такт, одобрение, полнота информации).
А вот если из вашей зарплаты или пенсии будут брать деньги на эту помощь, вы и тогда будете «за»?
Задание 9. Определите, к какому виду служебно-делового общения относится следующий фрагмент текста (деловые переговоры, интервью, презентация).
Добрый день, дорогие друзья! Давайте познакомимся: меня зовут…, я работаю в компании Тяньши… и достиг (или надеюсь достичь) здесь… Вы, наверное, сегодня первый раз слушаете информацию о Тяньши? – Я вам по-хорошему завидую: на вашем месте я тоже был … и этот день очень круто изменил мою жизнь к лучшему. Надеюсь, что сегодняшний день многие из вас также запомнят, он станет важной вехой в вашей жизни. Нам предстоит непродолжительная, но напряженная работа. Будьте внимательны! Вопросы оставьте на потом.
Задание 10. Прочитайте рекламные слоганы. Определите, какие языковые средства выразительности в них использованы.
«Пора брать кассу!» (реклама кассовых аппаратов)
«Сядь за руль и обгони ветер!» (реклама автомобилей)
«Бастион» покоряется только хозяину» (реклама дверных замков)
Супербатончик «Финт» – только для тех, кто вправду крут!
«Хрустящее счастье в шоколаде «Кэдбери».
Задание 11. Раскройте скобки и выберите правильное слово из паронимов.
1. (Развитие – развитость) малого бизнеса играет большую роль в экономике. 2. Малый бизнес (благотворно – плодотворно) отразится на нашей экономике. 3. Мы перестанем (боязливо – боязно) смотреть в будущее. 4. (Бракованный – браковочный) товар навсегда уйдет с наших прилавков. 5. Мы хотим (верить – веровать) в достойное будущее.
Задание 12. В перечисленных ниже словосочетаниях лишние слова вычеркните. Как называется данное явление?
Главный приоритет, первый лидер, тоска по ностальгии.
Задание 13. Найдите ошибки, исправьте их и объясните их причину.
1. Мой дядя – прелучшайший и предобрейший человек на свете. 2. Этот костюм мне менее велик, чем тот. 3. Алена гораздо красивше Татьяны. 4. Мой сын так хочет повзрослеть, что тайком от нас броется. 5. Выйдет, бывало, бабушка на крыльцо и кликает нас, ребятишек.
Задание 14. Найдите в предложениях лексические ошибки, исправьте их и запишите ваш вариант предложений.
1. Хозяйка, в одетом на обнаженную шею дорогом ожерелье, привлекала восхищенные взгляды гостей. 2. Ведущий заявил, что, если бы директор сдал финансиста, это было бы подарком всей фирме. 3. Золотой век подарил нам плеяду выдающихся писателей. 4. Ни для кого не секрет, на чем зиждется мафия, но борьба с ней пока не дает видимых успехов. 5. Оконные рамы нашей фирмы обладают в неукоснительным качеством.
Задание 15. В каком словаре может быть помещена следующая словарная статья?
Будний // будничный
Общий корень – будн-; различаются наличием суффикса –ичн— во втором слове.
Будний (разг.) – не праздничный (о времени).
Будничный – постоянно окружающий человека; предназначенный для будней, повседневный, обыденный; прозаический, однообразный.
Будний (-яя, -ее, -ие) день, пора, время.
Будничный (-ая, -ое, -ые) труд, работа, дело, занятие, заботы; одежда, обувь, обстановка, темы.
Задание 16. Вставьте пропущенные буквы. Объясните лексическое значение каждого слова.
Орх…дея, п…л…садник, пан…кёр, п…р…ллель, п…ц…физм, п…р…ферия, п…сс…мизм, пл…гиат, п…лемика, пр…винция.
Задание 17. Вставьте пропущенные буквы. К словам с удвоенными согласными приведите как можно больше производных слов и запишите их.
Тер…ор…, трас…а, цел…офан, агрес…ия, ак…умулятор, ак…омпанемент, ал…ея, ан…отация, ан…улировать, апел…яция, артил…ерия, мас…он.
Задание 18. Расставьте ударения в данных словах. Если возможны варианты, укажите их.
Ветеринария, значимость, возбужденный, звонишь, маркировать, воспроизведенный, избалованный, медикамент, втридорога, исповедание, менеджмент, гастрономия, исподволь, мизерный, генезис.
Задание 19. В каких словах перед е произносится мягкий согласный?
Эффект, интервью, картотека, пионер, синтетика, стенд, температура, фонетика, теннис, тент.
Задание 20. Употребите аббревиатуры с глаголами в форме прошедшего времени, например: ТАСС заявил.
СТО, ТЮЗ, УВД, ЖЭУ, ЧП.
Задание 21. Найдите случаи нарушения лексической сочетаемости в устойчивых словосочетаниях, фразеологизмах и исправьте их.
Сложить руки, сложить ноги, сложить голову, выйти в тираж, попасть в тираж, списать в тираж, искать ветра в поле, ждать ветра в поле.
Задание 22. Найдите речевые ошибки в употреблении фразеологизмов, исправьте их.
1. Я не верю ни единому твоему слову, и нечего втирать мне очки! 2. Все, что сделано нашими дедами и отцами, не должно кануть в лето. 3. Дамоклов узел приближающейся ревизии с неотвратимостью навис над ним, заставляя метаться в поисках выхода. 4. Если ты достиг успеха, то не следует все же долго почивать на лаврах. 5. Музыка была для него книгой за семью печатями, и он никак не мог понять, почему другие восхищаются, слушая оперные арии или симфонические произведения.
Задание 23. Образуйте от следующих существительных форму именительного падежа множественного числа.
Катер, лекарь, веер, ворох, доктор, желоб, договор, клапан, архитектор, корпус, корректор, лацкан, лектор, прожектор, ордер.
Задание 24. Определите род данных существительных. Составьте словосочетания (с прилагательным или глаголом в форме прош. времени).
Штаб-квартира, пресс-атташе, кафе-столовая, театр-студия, платье-костюм, царь-пушка, плащ-палатка.
Задание 25. Образуйте с несклоняемыми существительными словосочетания «прилагательное + существительное».
Атташе, денди, какаду, эмансипе, сопрано, кольраби, мацони, евро, сирокко, хинди, экю, радио, метро, Дюма, мадам.
Задание 26. Раскройте скобки, употребив нужную форму фамилии. Свой ответ мотивируйте.
1. Мексиканские песни в исполнении (Росита Кинтана). 2. Мы купили сказки (братья Гримм). 3. Нас заинтересовала скульптура (Демут-Малиновский). 4. На приеме присутствовали лорд и леди (Гамильтон). 5. Наталья не любила произведения (Эрих-Мария Ремарк).
Задание 27. Запишите словами приведенные в предложениях имена числительные.
1. Царь Леонид с 300 (спартанец) в Фермопильском ущелье прикрывал отступление греческих войск. 2. Коллектив нашего участка обязуется благоустроить 80,3 (процент) подведомственной территории к январю 2001 года. 3. Сообщаю, что вчера в ночь между 11-24 (час) я находилась дома, что может быть подтверждено 3 (соседка). 4. На площади собралось около 400 (человек). 5. Было решено закончить экспедицию через 23 (сутки).
Задание 28. Раскройте скобки. Объясните слитное / раздельное написание.
1. Отец удалён из дому за провинность, (за)то, что как-то на даче летним вечером сделал нечто такое с роялем, (от)чего тот издал совершенно потрясающий звук. 2. Пришедши к возам, он совершенно позабыл, (за)чем пришёл. 3. Больше Кучум уже ни разу не говорил со мной, (по)тому что не произносил слов без нужды. 4. Он пошёл спрятаться в самое отдалённое место в бурьяне; (при)чем не позабыл утащить старую подошву от сапога. 5. Некрасив, безобразен, так тому и быть, но (за)чем всенародно мою физиономию на вид выставлять?
Задание 29. Раскройте скобки. Дайте правильное написание, используя в качестве проверочных слов синонимы.
1. Потому ли, что Жиган отрицал обвинение с необыкновенной горячностью, только Димка решил, что (в)виде исключения на этот раз он не врёт. 2. (На)счет таковой постройки города учреждена особенная комиссия. 3. Была она модницей, щеголихой, но тут (в)виду скорой смерти всё бросила и стала ходить неряхой. 4. Я хотел поговорить с вами (на)счет квартиры. 5. У многих русских рек, (на)подобии(е/и) Волги, один берег горный, другой луговой.
Задание 30. Отредактируйте предложения, устранив ошибки.
1. Прочитав повесть Быкова, меня в первую очередь поразил сам сюжет. 2. Провожая сына на войну, по его щеке медленно катится слеза. 3. Будучи совсем молоденькой девушкой, к Татьяне пришла пора любви. 4. Читая пьесу, Лариса мне очень понравилась. 5. Читая поэму, осознается простая истина, сколько бы человек ни накопил за свою жизнь, важнее всего не растратить те чистые помыслы и благие намерения, ради которых мы стремились, достигая цели.
Задание 31. Перепишите, выберите нужную форму глагола-сказуемого. Объясните свой выбор.
1. Для них несколько столичных фабрик (шьет, шьют) костюмы. 2. В майские дни прошлых лет пресса, в том числе – автор этих строк, всегда (писала, писали) о победе над Германией. 3. Пресса (вспоминали, вспоминала) героев войны. 4. В течение года пять учеников школы (участвовало, участвовали) в олимпиадах единой командой. 5. В районе (строится, строятся) шесть новых домов.
Задание 32. Вместо точек вставьте пропущенные буквы. Объясните, почему в одних случаях пишем Н, в других – НН.
1. И мыслит он, что жизни новой пришла жела…ая пора. 2. От камня, броше…ого в воду, далеко ширятся круги. 3. Униже…ая до конца, страна веселием объята. 4. Люто замороже…ый Петербург горел и бредил. 5. Там – оштукатуре…ое небо.
Задание 33. Объясните слитное или раздельное написание НЕ.
1. (Не)гнетёт немая млечность, (не)тревожит звёздный страх. 2. Однако и бумажки принесли (не)которую пользу. 3. Сначала показался (не)кто рослый, самоуверенный. 4. (Не)смотря на обилие багажа создаётся впечатление, что все эти люди уезжают налегке. 5. Лицо твоё (не)огрубело от ветра. 6. Я начинаю думать, что до сих пор он был просто (не)понят.
Задание 34. Перепишите. Раскройте скобки.
(Полу)сапожки, (пол)яблока, (пол)Америки, (пол)листа, (пол)тарелки, (пол)беды, (пол)жизни, (пол)оборота, (пол)ящика, (пол)Киева.
Задание 35. Перепишите. Раскройте скобки.
(Электро)лампа, (южно)уральский, (поздне)спелый, (северо)западный, (древне)русский, (горно)лыжный, (ветхо)заветный, (дом)музей, (держи)морда, (сине)голубой.
Задание 36. Объясните слитное или раздельное написание наречий.
(Во)обще, (в, во)общем, (в)открытую обманывать, (в)силу привычки, (в)тихомолку, (в)семеро больше, (в)семером, бояться (до)смерти, (крепко)накрепко, (в)конец устал.
Задание 37. Перепишите, вставляя пропущенные буквы. Объясните условия выбора О / Ё.
Печ…т, ж…лоб, сош…л, моч…ный, оглуш…нный, ш…птать, щ…лочь, ж…рдочка, ч…ртовщина, саж…нки, заглуш…н, протяж…нность.
Задание 38. Перепишите, подчеркните чередующиеся гласные в корнях.
Пром…кнул, прекл…нить, к…саясь, ср…внения, разг…релись, р…сла, проск…чит, ск…чу, покл…нившись, г…рящий, тв…рить чудеса, расст…лается, пол…жила, вск…чил, предл…жил, накл…нился, пор…внялась, притв…ряешься.
Задание 39. Вставьте пропущенные буквы, выделите приставки.
И…сякнуть, и…царапанный, и…жаренный, пр…ходящая популярность, (дез-, диз-/дис-)функция, р…спустить косы, глубокое р…здумье, пр…стыдить шалунов, толстый-пр…толстый мужчина, пр…ходящие с опозданием гости, пан…сламизм, пред…юньский, не…нтересный, пед…нститут.
Задание 40. Вставьте, где нужно, Ь. Обоснуйте свой выбор.
Повеселееш…, рож…, что ищеш…, молодёж…, приходиш…, разбереш…, догадаеш…ся, лиш…, потревож…, лож…, зловещ…, несколько крыш…, стоиш…
Задание 41. Объясните смысл русской поговорки «Бранить – себя тешить». Какой коммуникативный закон она иллюстрирует? Аргументируйте свою точку зрения.
Задание 42. Прочитайте фразу. Определите тактику речевого поведения, которую использует говорящий.
Наша компания помогает детским домам: ежегодно перечисляет большую сумму денег, устраивает праздники, приобретает подарки именинникам…
Задание 43. Составьте визитную карточку для знакомства с деловым партнером.
Задание 44. Соблюдая все правила оформления реквизитов документа, напишите от своего имени заявление, расписку, доверенность, служебную записку, объяснительную записку, резюме.
Задание 45. Составьте и напишите деловому партнеру письмо-рекламацию (претензия), используя все реквизиты делового письма.
studfiles.net
ВМ_КР6
УЧРЕЖДЕНИЕ ОБРАЗОВАНИЯ
БЕЛОРУССКИЙ ГОСУДАРСТВЕННЫЙ УНИВЕРСИТЕТ
ИНФОРМАТИКИ И РАДИОЭЛЕКТРОНИКИ
Факультет заочного и дистанционного обучения
Специальность: Искусственный Интеллект
КОНТРОЛЬНАЯ РАБОТА
ПО ВЫСШЕЙ МАТЕМАТИКЕ №6
Вариант №5
№1
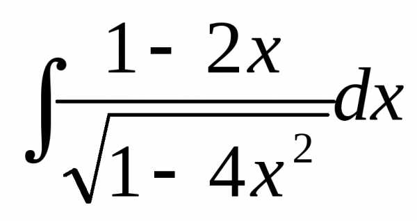
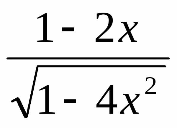
285. Найти неопределенные интегралы (результаты в случаях “а” и “б” проверить дифференцированием).
а) б) в)
г) д)
Решение
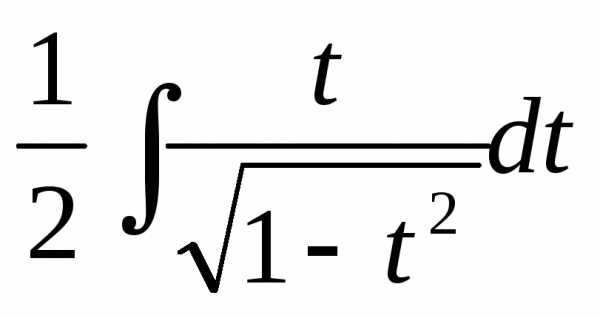
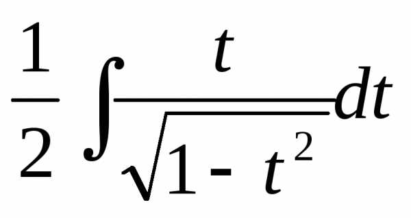
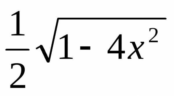
a) 
= – 
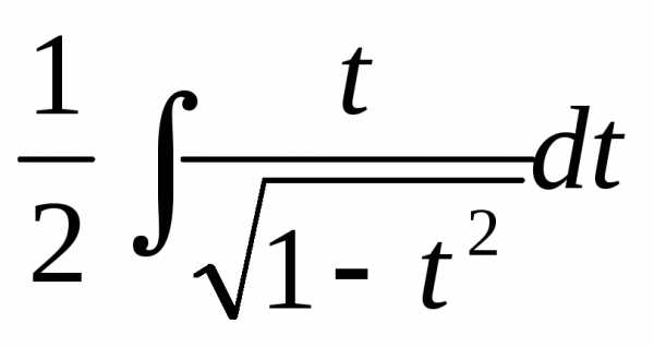
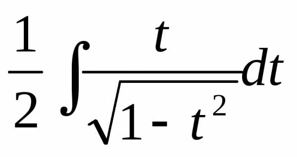
Сделаем замену t = 2x, тогда
–
=
–
=
–
+
С
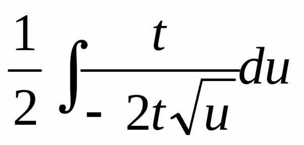
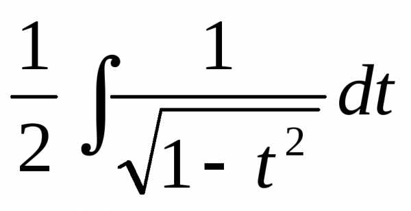
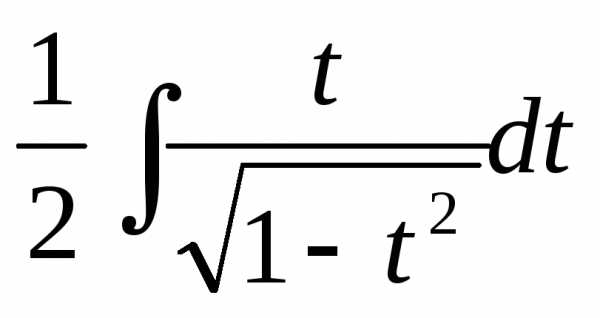
Рассмотрим
:
Сделаем замену u = 1 – t2,
тогда du = -2t
dt, dt = 
Следовательно
=
=
=
+ C
Произведем обратную замену:
+
C =
+ C
Вернемся к
–
=
+
+ C
Произведем обратную замену:
+
=
+
+ C
Проверим результат:
= = 
б)
Сделаем замену u = x,
dv =
.
Тогда du = dx.
Найдем v:
v =
=
=
= = =
=
+ С
Используем интегрирование по частям:
=
=
= + С
Найдем
:
=
=
= = + С
Вернемся к
= + С = + С
Проверим результат:
= =
= = =
= =
= 
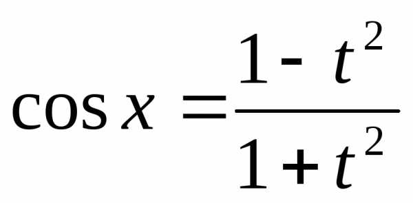
в)
Воспользуемся интегрированием рациональных функций:
— правильная рациональная дробь.
Тк то
=
=
Приведем правую часть к общему знаменателю
(
):
=
=
Приравняем коэффициенты при одинаковых степенях x:
Откуда С = 0, D =
,
A =
,
B = 
Подставим найденные коэффициенты в разложение и проинтегрируем его:
= =
= =
=
г)
Используем подстановку
,
тогда
, 
Следовательно
Выделив целую часть, получим:
=
+C
Сделаем обратную подстановку:
+C= +C
д)
Используем подстановку
,
тогда
, 
Следовательно
Сделав обратную подстановку, получим:
= 
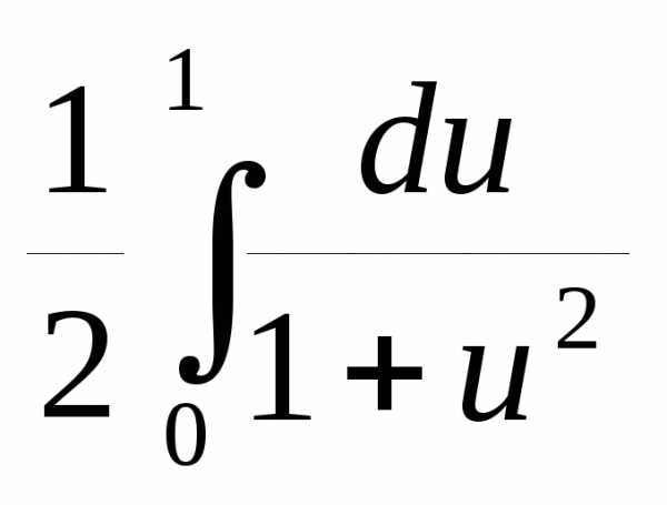
№2
295. Вычислить определенный интеграл. Окончательный результат представить в виде приближенного числа, произведя вычисление с округлением до третьего десятичного знака.
Решение
Пусть u = x2, тогда du = 2x dx =>
=
=
= 
=
(
–
)
=
(
0,785 – 0)
= 0,393
№3
305. Вычислить интеграл с помощью формулы Симпсона, разбив отрезок интегрирования на 10 частей. Все вычисления производить с округлением до третьего десятичного знака.
Решение
Поделим отрезок
на десять равных частей:


Вычислим значения функции:
= y(0) = 1,414
= y(
)
= 1,732
= y(0,157) =1,468
= y(0,314) =1,519
= y (0,471)=1,566
= y (0,628) =1,609
= y (0,785)=1,645
= y(0,942) =1,676
= y(1,099) =1,700
= y(1,256)= 1,718
= y (1,413)=1,728
Подставим полученные значения в формулу Симпсона:



0,052*(3,146+32,428+13,044) = 2,528136
№4
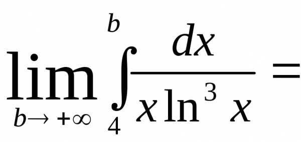
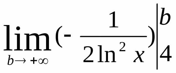
315. Вычислить несобственный интеграл или доказать его расходимость.
Решение


=
=0,26
Интеграл сходится.
№5
325. Вычислить площадь фигуры, ограниченной трехлепестковой розой r = 5 sin 3
Решение
Найдем область определения D(p):
При k = 0:
и радиус вектор описывает один лепесток
При
Площадь всей фигуры будет равна 2*3 площади половины лепестка:
№6
335. Найти координаты центра тяжести однородной дуги одной арки циклоиды
Решение
Координаты центра тяжести дуги равны
,
где
равно верхнему пределу интегрирования
при котором длина дуги равна
.
Найдем длину дуги:
L =
= 
Т.к. функция периодична(
),
то
=
=
L
Также функция четная, следовательно
=2
= L

Следовательно 
Найдем x и y центра тяжести:
Координаты центра тяжести однородной дуги одной арки циклоиды (3.14;2)
studfiles.net
КР_6
Вариант 6
Задание 1. Прочитайте тексты и скажите, к какому функциональному стилю относится каждый из них. Назовите признаки, которые позволили вам определить стиль текста, и подтвердите их наличие примерами из текста.
1. И вот подошла к нам беда: стали кулаками звать. Все у нас забрали: хлеб выгребли, скот угнали, сани, телеги… Даже корыта. Кадки, что солили грузди, – все по себе эти воры растащили. Даже одежду – и ту всю на торгах продали. И оставили нас с бабушкой 96 лет.
2. Буду говорить только о состоянии культуры в нашей стране, и главным образом о гуманитарной, человеческой ее части. Я внимательно изучил предвыборные платформы депутатов. Меня поразило, что в подавляющем большинстве этих программ даже не было слова «культура». Между тем без культуры в обществе нет и нравственности. Без элементарной нравственности не действуют и социальные законы, не выполняются указы, не может существовать современная наука.
Задание 2. Обоснуйте гибридность данного текста. Как называется такое явление?
Илья Сергеич Пеплов и жена его Клеопатра Петровна стояли у двери и жадно подслушивали. За дверью, по-видимому, происходило объяснение в любви.
– Клюет! – шептал Пеплов. – Смотри же Петровна, как только заговорят о чувствах, тотчас снимай со стены образ и идем благословлять… Не отвертится тогда, пусть хоть в суд подает.
– Вовсе я не писал вам писем! – говорил учитель чистописания Щуплов.
– Ну да! Будто я не знаю вашего почерка! – хохотала девица, манерно взвизгивая. – Я сразу узнала! И какие вы странные! Учитель чистописания, а почерк как у курицы!
Задание 3. Разграничьте в следующих примерах гиперболу, олицетворение, перифразу, сравнение.
1. Скоро сам узнаешь в школе, как архангельский мужик по своей и божьей воле стал разумен и велик. 2. Ты – как отзвук забытого гимна в моей черной и дикой судьбе. 3. И тогда обиделось Время и застыли маятники Времени. 4. Солнце русской поэзии закатилось. 5. Одна женщина может быть сильнее тысячи мужчин.
Задание 4. Какие риторические фигуры использованы в следующих примерах (оксюморон, антитеза, парцелляция)?
1. Недоверчивость – мудрость дурака. 2. Джентльмены не говорят о деньгах – джентльмены имеют деньги. 3. Человеку не нужно ничего сверх того, что дала ему природа. За исключением денег.
Задание 5. Прочитайте приведенный ниже фрагмент речи. Определите, какие приемы привлечения внимания использованы в начале (конце) речи.
Именно по состоянию здоровья населения принято судить о степени цивилизованности страны, динамичности развития общества. Физическое, психическое и нравственное здоровье нации является главным капиталом общества. Несостоятельны утверждения, будто нам нужно сначала поднять экономику, а затем думать об охране здоровья россиян. Мы не выйдем из кризиса, если у нас не будет нормальных, физически и умственно полноценных людей! Здоровье нации не может быть ценой политики реформ, а должно стать высшим государственным приоритетом.
Нашему обществу очень не хватает мира и согласия. А может быть, сохранение народа, о чем недавно говорил Александр Исаевич Солженицын, и есть та национальная идея, которая способна объединить всех – и белых, и красных. Ведь все мы – россияне, живем в одной стране, дышим одним воздухом. У нас есть все, чтобы обеспечить человеку достойную жизнь. Нужна лишь политическая воля.
Здесь, наверное, будут высказаны разные точки зрения, но цель у нас одна – улучшить здоровье нации и российское здравоохранение. И я желаю успехов всем участникам слушаний в реализации этой благородной цели!
Задание 6. Определите тип связи в тексте.
Молекулярные цеолитовые сита. Катионы довольно подвижны и обычно могут в той или иной степени обмениваться на другие катионы. Цеолиты являются кристаллическими водными алюмосиликатами, они относятся к группе каркасных алюмосиликатов. Каркасы цеолитов содержат каналы и сообщающиеся между собой полости, в которых находятся катионы и молекулы воды.
Задание 7. Определите способ изложения материала в тексте (индуктивный, дедуктивный, концентрический, исторический, ступенчатый).
Известный ученый Лев Николаевич Гумилев в книге «Этногенез и биосфера Земли» привел серию любопытных примеров. Так, древний афинянин, побывав в Ольвии, с негодованием рассказывал, что скифы не имеют домов, а во время своих праздников напиваются до бесчувствия. Скифы же, наблюдая вакханалии греков, чувствовали такое омерзение, что, однажды увидев своего царя, гостившего в Ольвии, в венке и с тирсом в руках в составе процессии ликующих эллинов, убили его. Рыцари, захватившие Палестину, возмущались арабским обычаем многоженства, а арабы считали бесстыдством незакрытые лица французских дам и т.д. Традиции одного народа (этноса) воспринимались другим как чудачества. Другой же народ считал их единственно возможным способом общежития и вовсе ими не тяготился. Причину этого Л.Н. Гумилев видел в существовании этнического стереотипа поведения.
Задание 8. Определите, какая максима соответствует данному примеру (скромность, вежливость, такт, одобрение, полнота информации).
А вот если из вашей зарплаты или пенсии будут брать деньги на эту помощь, вы и тогда будете «за»?
Задание 9. Определите, к какому виду служебно-делового общения относится следующий фрагмент текста (деловые переговоры, интервью, презентация).
Добрый день, дорогие друзья! Давайте познакомимся: меня зовут…, я работаю в компании Тяньши… и достиг (или надеюсь достичь) здесь… Вы, наверное, сегодня первый раз слушаете информацию о Тяньши? – Я вам по-хорошему завидую: на вашем месте я тоже был … и этот день очень круто изменил мою жизнь к лучшему. Надеюсь, что сегодняшний день многие из вас также запомнят, он станет важной вехой в вашей жизни. Нам предстоит непродолжительная, но напряженная работа. Будьте внимательны! Вопросы оставьте на потом.
Задание 10. Прочитайте рекламные слоганы. Определите, какие языковые средства выразительности в них использованы.
«Пора брать кассу!» (реклама кассовых аппаратов)
«Сядь за руль и обгони ветер!» (реклама автомобилей)
«Бастион» покоряется только хозяину» (реклама дверных замков)
Супербатончик «Финт» – только для тех, кто вправду крут!
«Хрустящее счастье в шоколаде «Кэдбери».
Задание 11. Раскройте скобки и выберите правильное слово из паронимов.
1. (Развитие – развитость) малого бизнеса играет большую роль в экономике. 2. Малый бизнес (благотворно – плодотворно) отразится на нашей экономике. 3. Мы перестанем (боязливо – боязно) смотреть в будущее. 4. (Бракованный – браковочный) товар навсегда уйдет с наших прилавков. 5. Мы хотим (верить – веровать) в достойное будущее.
Задание 12. В перечисленных ниже словосочетаниях лишние слова вычеркните. Как называется данное явление?
Главный приоритет, первый лидер, тоска по ностальгии.
Задание 13. Найдите ошибки, исправьте их и объясните их причину.
1. Мой дядя – прелучшайший и предобрейший человек на свете. 2. Этот костюм мне менее велик, чем тот. 3. Алена гораздо красивше Татьяны. 4. Мой сын так хочет повзрослеть, что тайком от нас броется. 5. Выйдет, бывало, бабушка на крыльцо и кликает нас, ребятишек.
Задание 14. Найдите в предложениях лексические ошибки, исправьте их и запишите ваш вариант предложений.
1. Хозяйка, в одетом на обнаженную шею дорогом ожерелье, привлекала восхищенные взгляды гостей. 2. Ведущий заявил, что, если бы директор сдал финансиста, это было бы подарком всей фирме. 3. Золотой век подарил нам плеяду выдающихся писателей. 4. Ни для кого не секрет, на чем зиждется мафия, но борьба с ней пока не дает видимых успехов. 5. Оконные рамы нашей фирмы обладают в неукоснительным качеством.
Задание 15. В каком словаре может быть помещена следующая словарная статья?
Будний // будничный
Общий корень – будн-; различаются наличием суффикса –ичн— во втором слове.
Будний (разг.) – не праздничный (о времени).
Будничный – постоянно окружающий человека; предназначенный для будней, повседневный, обыденный; прозаический, однообразный.
Будний (-яя, -ее, -ие) день, пора, время.
Будничный (-ая, -ое, -ые) труд, работа, дело, занятие, заботы; одежда, обувь, обстановка, темы.
Задание 16. Вставьте пропущенные буквы. Объясните лексическое значение каждого слова.
Орх…дея, п…л…садник, пан…кёр, п…р…ллель, п…ц…физм, п…р…ферия, п…сс…мизм, пл…гиат, п…лемика, пр…винция.
Задание 17. Вставьте пропущенные буквы. К словам с удвоенными согласными приведите как можно больше производных слов и запишите их.
Тер…ор…, трас…а, цел…офан, агрес…ия, ак…умулятор, ак…омпанемент, ал…ея, ан…отация, ан…улировать, апел…яция, артил…ерия, мас…он.
Задание 18. Расставьте ударения в данных словах. Если возможны варианты, укажите их.
Ветеринария, значимость, возбужденный, звонишь, маркировать, воспроизведенный, избалованный, медикамент, втридорога, исповедание, менеджмент, гастрономия, исподволь, мизерный, генезис.
Задание 19. В каких словах перед е произносится мягкий согласный?
Эффект, интервью, картотека, пионер, синтетика, стенд, температура, фонетика, теннис, тент.
Задание 20. Употребите аббревиатуры с глаголами в форме прошедшего времени, например: ТАСС заявил.
СТО, ТЮЗ, УВД, ЖЭУ, ЧП.
Задание 21. Найдите случаи нарушения лексической сочетаемости в устойчивых словосочетаниях, фразеологизмах и исправьте их.
Сложить руки, сложить ноги, сложить голову, выйти в тираж, попасть в тираж, списать в тираж, искать ветра в поле, ждать ветра в поле.
Задание 22. Найдите речевые ошибки в употреблении фразеологизмов, исправьте их.
1. Я не верю ни единому твоему слову, и нечего втирать мне очки! 2. Все, что сделано нашими дедами и отцами, не должно кануть в лето. 3. Дамоклов узел приближающейся ревизии с неотвратимостью навис над ним, заставляя метаться в поисках выхода. 4. Если ты достиг успеха, то не следует все же долго почивать на лаврах. 5. Музыка была для него книгой за семью печатями, и он никак не мог понять, почему другие восхищаются, слушая оперные арии или симфонические произведения.
Задание 23. Образуйте от следующих существительных форму именительного падежа множественного числа.
Катер, лекарь, веер, ворох, доктор, желоб, договор, клапан, архитектор, корпус, корректор, лацкан, лектор, прожектор, ордер.
Задание 24. Определите род данных существительных. Составьте словосочетания (с прилагательным или глаголом в форме прош. времени).
Штаб-квартира, пресс-атташе, кафе-столовая, театр-студия, платье-костюм, царь-пушка, плащ-палатка.
Задание 25. Образуйте с несклоняемыми существительными словосочетания «прилагательное + существительное».
Атташе, денди, какаду, эмансипе, сопрано, кольраби, мацони, евро, сирокко, хинди, экю, радио, метро, Дюма, мадам.
Задание 26. Раскройте скобки, употребив нужную форму фамилии. Свой ответ мотивируйте.
1. Мексиканские песни в исполнении (Росита Кинтана). 2. Мы купили сказки (братья Гримм). 3. Нас заинтересовала скульптура (Демут-Малиновский). 4. На приеме присутствовали лорд и леди (Гамильтон). 5. Наталья не любила произведения (Эрих-Мария Ремарк).
Задание 27. Запишите словами приведенные в предложениях имена числительные.
1. Царь Леонид с 300 (спартанец) в Фермопильском ущелье прикрывал отступление греческих войск. 2. Коллектив нашего участка обязуется благоустроить 80,3 (процент) подведомственной территории к январю 2001 года. 3. Сообщаю, что вчера в ночь между 11-24 (час) я находилась дома, что может быть подтверждено 3 (соседка). 4. На площади собралось около 400 (человек). 5. Было решено закончить экспедицию через 23 (сутки).
Задание 28. Раскройте скобки. Объясните слитное / раздельное написание.
1. Отец удалён из дому за провинность, (за)то, что как-то на даче летним вечером сделал нечто такое с роялем, (от)чего тот издал совершенно потрясающий звук. 2. Пришедши к возам, он совершенно позабыл, (за)чем пришёл. 3. Больше Кучум уже ни разу не говорил со мной, (по)тому что не произносил слов без нужды. 4. Он пошёл спрятаться в самое отдалённое место в бурьяне; (при)чем не позабыл утащить старую подошву от сапога. 5. Некрасив, безобразен, так тому и быть, но (за)чем всенародно мою физиономию на вид выставлять?
Задание 29. Раскройте скобки. Дайте правильное написание, используя в качестве проверочных слов синонимы.
1. Потому ли, что Жиган отрицал обвинение с необыкновенной горячностью, только Димка решил, что (в)виде исключения на этот раз он не врёт. 2. (На)счет таковой постройки города учреждена особенная комиссия. 3. Была она модницей, щеголихой, но тут (в)виду скорой смерти всё бросила и стала ходить неряхой. 4. Я хотел поговорить с вами (на)счет квартиры. 5. У многих русских рек, (на)подобии(е/и) Волги, один берег горный, другой луговой.
Задание 30. Отредактируйте предложения, устранив ошибки.
1. Прочитав повесть Быкова, меня в первую очередь поразил сам сюжет. 2. Провожая сына на войну, по его щеке медленно катится слеза. 3. Будучи совсем молоденькой девушкой, к Татьяне пришла пора любви. 4. Читая пьесу, Лариса мне очень понравилась. 5. Читая поэму, осознается простая истина, сколько бы человек ни накопил за свою жизнь, важнее всего не растратить те чистые помыслы и благие намерения, ради которых мы стремились, достигая цели.
Задание 31. Перепишите, выберите нужную форму глагола-сказуемого. Объясните свой выбор.
1. Для них несколько столичных фабрик (шьет, шьют) костюмы. 2. В майские дни прошлых лет пресса, в том числе – автор этих строк, всегда (писала, писали) о победе над Германией. 3. Пресса (вспоминали, вспоминала) героев войны. 4. В течение года пять учеников школы (участвовало, участвовали) в олимпиадах единой командой. 5. В районе (строится, строятся) шесть новых домов.
Задание 32. Вместо точек вставьте пропущенные буквы. Объясните, почему в одних случаях пишем Н, в других – НН.
1. И мыслит он, что жизни новой пришла жела…ая пора. 2. От камня, броше…ого в воду, далеко ширятся круги. 3. Униже…ая до конца, страна веселием объята. 4. Люто замороже…ый Петербург горел и бредил. 5. Там – оштукатуре…ое небо.
Задание 33. Объясните слитное или раздельное написание НЕ.
1. (Не)гнетёт немая млечность, (не)тревожит звёздный страх. 2. Однако и бумажки принесли (не)которую пользу. 3. Сначала показался (не)кто рослый, самоуверенный. 4. (Не)смотря на обилие багажа создаётся впечатление, что все эти люди уезжают налегке. 5. Лицо твоё (не)огрубело от ветра. 6. Я начинаю думать, что до сих пор он был просто (не)понят.
Задание 34. Перепишите. Раскройте скобки.
(Полу)сапожки, (пол)яблока, (пол)Америки, (пол)листа, (пол)тарелки, (пол)беды, (пол)жизни, (пол)оборота, (пол)ящика, (пол)Киева.
Задание 35. Перепишите. Раскройте скобки.
(Электро)лампа, (южно)уральский, (поздне)спелый, (северо)западный, (древне)русский, (горно)лыжный, (ветхо)заветный, (дом)музей, (держи)морда, (сине)голубой.
Задание 36. Объясните слитное или раздельное написание наречий.
(Во)обще, (в, во)общем, (в)открытую обманывать, (в)силу привычки, (в)тихомолку, (в)семеро больше, (в)семером, бояться (до)смерти, (крепко)накрепко, (в)конец устал.
Задание 37. Перепишите, вставляя пропущенные буквы. Объясните условия выбора О / Ё.
Печ…т, ж…лоб, сош…л, моч…ный, оглуш…нный, ш…птать, щ…лочь, ж…рдочка, ч…ртовщина, саж…нки, заглуш…н, протяж…нность.
Задание 38. Перепишите, подчеркните чередующиеся гласные в корнях.
Пром…кнул, прекл…нить, к…саясь, ср…внения, разг…релись, р…сла, проск…чит, ск…чу, покл…нившись, г…рящий, тв…рить чудеса, расст…лается, пол…жила, вск…чил, предл…жил, накл…нился, пор…внялась, притв…ряешься.
Задание 39. Вставьте пропущенные буквы, выделите приставки.
И…сякнуть, и…царапанный, и…жаренный, пр…ходящая популярность, (дез-, диз-/дис-)функция, р…спустить косы, глубокое р…здумье, пр…стыдить шалунов, толстый-пр…толстый мужчина, пр…ходящие с опозданием гости, пан…сламизм, пред…юньский, не…нтересный, пед…нститут.
Задание 40. Вставьте, где нужно, Ь. Обоснуйте свой выбор.
Повеселееш…, рож…, что ищеш…, молодёж…, приходиш…, разбереш…, догадаеш…ся, лиш…, потревож…, лож…, зловещ…, несколько крыш…, стоиш…
Задание 41. Объясните смысл русской поговорки «Бранить – себя тешить». Какой коммуникативный закон она иллюстрирует? Аргументируйте свою точку зрения.
Задание 42. Прочитайте фразу. Определите тактику речевого поведения, которую использует говорящий.
Наша компания помогает детским домам: ежегодно перечисляет большую сумму денег, устраивает праздники, приобретает подарки именинникам…
Задание 43. Составьте визитную карточку для знакомства с деловым партнером.
Задание 44. Соблюдая все правила оформления реквизитов документа, напишите от своего имени заявление, расписку, доверенность, служебную записку, объяснительную записку, резюме.
Задание 45. Составьте и напишите деловому партнеру письмо-рекламацию (претензия), используя все реквизиты делового письма.
studfiles.net
Кр 6
Томский университет систем управления и радиоэлектроники.
Вариант №1
Выполнил:
студент гр.
факультет ЭТ
2002г.
Схема замещения электрической цепи.

Значения параметров элементов:
E=100 В; R1=100 Ом; R2=50 Ом; R3=50 Ом; R4=150 Ом; R5=200 Ом; C=10 мкФ; L=10 мГн.
Формирование математической модели методом переменных состояния.
Для данной схемы электрической цепи:
Количество узлов: Nуз=4, количество ветвей: Nв=6, количество ветвей содержащих только идеальные источники ЭДС: NE=1, количество ветвей, содержащих источники тока: NJ=0, переменными состояния являются iL и uC.
В соответствии с первым законом Киргофа необходимо составить уравнений. С учётом положительных направлений токов запишем:
(для узла 1),
(для узла 3).
Определяем необходимое количество уравнений по второму закону Киргофа: . Учитывая положительные направления обходов и падений напряжений на элементах, получим:
(для контура 1),
(для контура 2),
(для контура 3).
Компонентные соотношения для элементов схемы:
С учётом компонентных соотношений получим:
.
Подставляя выражение для iR4в уравнение для узла 3 находим:
.
Учитывая компонентные соотношения для сопротивлений R1, R2, R3, а также для iR3 и iR4получим:
.
Математическая модель схемы представляет собой систему двух линейных дифференциальных уравнения.
;
.
Представим математическую модель в матричной форме:
, .
studfiles.net
