Топ 10 | Самые большие звезды во Вселенной
10 AH Скорпиона

10 место — AH Скорпиона
Десятую строчку самых крупных звезд в нашей Вселенной занимает красный супергигант, находящийся в созвездии Скорпиона. Экваториальный радиус этой звезды равен 1287 — 1535 радиусов нашего Солнца. Расположена примерно в 12 000 световых лет от Земли.
9 KY Лебедя

9 место — KY Лебедя
Девятое место занимает звезда, находящаяся в созвездии Лебедь на расстоянии примерно 5 тысяч световых лет от Земли. Экваториальный радиус этой звезды равен 1420 солнечных радиусов. Однако его масса превышает массу Солнца всего в 25 раз. Светит KY Лебедя примерно в миллион раз ярче Солнца.
8 VV Цефея А

8 место — VV Цефея А
VV Цефея — затменная двойная звезда типа Алголя в созвездии Цефей, которая находится на расстоянии около 5000 световых лет от Земли. В Галактике Млечный Путь она вторая самая крупная звезда (после VY Большого пса). Экваториальный радиус этой звезды равен
7 VY Большого пса

7 место — VY Большого пса
Крупнейшая звезда в нашей Галактике. Радиус звезды лежит в диапазоне 1300 — 1540 радиусов Солнца. Для того, чтобы облететь звезду по кругу, свету потребовалось бы 8 часов. Как показали исследования, звезда является неустойчивой. Астрономы предсказывают, что VY Большого Пса взорвётся как гиперновая в ближайшие 100 тысяч лет. Теоретически, взрыв гиперновой вызовет гамма-всплески, которые могут повредить содержимое локальной части Вселенной, уничтожая любую клеточную жизнь в радиусе нескольких световых лет, однако, гипергигант расположен недостаточно близко к Земле, чтобы представлять угрозу (примерно 4 тысячи световых лет).
6 VX Стрельца
6 место — VX Стрельца
Гигантская пульсирующая переменная звезда. Её объем, а также температура периодически меняются. По данным астрономов, экваториальный радиус этой звезды равен 1520 радиусов Солнца. Своё имя звезда получила по названию созвездия, в котором она находится. Проявления звезды из-за её пульсации напоминают биоритмы человеческого сердца.
5 Вэстерланд 1-26

5 место — Вэстерланд 1-26
Пятую строчку занимает красный сверхгигант, радиус этой звезды лежит в диапазоне 1520 — 1540 солнечных радиусов. Находится она в 11 500 световых лет от Земли. Если бы Вэстерланд 1-26 находилась в центре Солнечной системы, её фотосфера охватила бы орбиту Юпитера. Например, типичная протяжённость фотосферы по глубине для Солнца составляет 300 км.
4 WOH G64

4 место — WOH G64
WOH G64 — красный сверхгигант, находящийся в созвездии Золотой Рыбы. Расположена в соседней галактике Большое Магелланово Облако. Расстояние до Солнечной системы составляет примерно 163 000 световых лет. Радиус звезды лежит в диапазоне 1540 — 1730 солнечных радиусов. Звезда завершит своё существование и станет сверхновой через несколько тысяч или десятков тысяч лет.
3 RW Цефея

3 место — RW Цефея
Бронза достается звезде RW Цефея. Красный супергигант находится на расстоянии 2739 световых лет от нас. Экваториальный радиус этой звезды равен 1636 солнечных радиусов.
2 NML Лебедя

2 место — NML Лебедя
Вторую строчку крупнейших звезд Вселенной занимает красный гипергигант в созвездии Лебедь. Радиус звезды примерно равен 1650 солнечных радиусов. Расстояние до нее оценивается примерно в 5300 световых лет. В составе звезды астрономы обнаружили такие вещества, как вода, монооксид углерода, сульфид водорода, окись серы.
1 UY Щита

1 место — UY Щита
Самая крупная звезда в нашей Вселенной на данный момент — гипергигант в созвездии Щита. Находится на расстоянии 9500 световых лет от Солнца. Экваториальный радиус звезды равен 1708 радиусов нашего Солнца. Светимость звезды приблизительно в 120 000 раз больше светимости Солнца в видимой части спектра, яркость была бы гораздо выше, если бы не было большого скопления газа и пыли вокруг звезды.
Комментарии:
Добавить комментарий
pooha.net
Самая большая звезда во Вселенной

С виду неприметная UY Щита
Современная астрофизика в плане звёзд будто заново переживает младенческий период. Наблюдения звёзд дают больше вопросов, чем ответом. Поэтому спрашивая о том, какая звезда является наибольшей во Вселенной, нужно быть сразу готовым к ответным вопросам. Спрашиваете ли вы о самой большой из известных науке звёзд, или о том, какими лимитами ограничивает звезду наука? Как это обычно бывает, в обоих случаях вы не получите однозначного ответа. Самый вероятный кандидат на крупнейшую звезду вполне равноправно делит пальму первенства со своими «соседями». Насчёт того, насколько он может быть меньше настоящей «царь звезды» также остаётся открытым.
Крупнейшая из известных?

Сравнение размеров Солнца и звезды UY Щита. Солнце — почти невидимый пиксель слева от UY Щита.
Сверхгигант UY Щита с некоторой оговоркой можно назвать самой крупной звездой из наблюдаемых в наши дни. Почему «с оговоркой» будет сказано ниже. UY Щита удалён от нас на 9500 световых лет и наблюдается как тусклая переменная звёздочка, различимая в небольшой телескоп. По оценкам астрономов, её радиус превышает 1700 радиусов Солнца, а в период пульсации этот размер может увеличиться до целых 2000.
Получается, помести такую звезду на место Солнца, нынешние орбиты планеты земной группы оказались бы в недрах сверхгиганта, а границы её фотосферы временами упирались бы в орбиту Сатурна. Если представить нашу Землю как гречневую крупицу, а Солнце – арбуз, то диаметр UY Щита будет сопоставим с высотой Останкинской телебашни.
Материалы по теме

Чтобы облететь такую звезду со скоростью света понадобится целых 7-8 часов. Вспомним, что свет, испущенный Солнцем, доходит до нашей планеты всего за 8 минут. Если лететь с той же скоростью, с какой МКС за полтора часа совершает один оборот вокруг Земли, то полёт вокруг UY Щита продлится около 36 лет. Теперь представим эти масштабы, учитывая, что МКС летит в 20 быстрее пули
spacegid.com
Сколько звезд в галактике и во Вселенной?

Как Вы наверное хорошо знаете, галактики — это не единичный объект, а «скопище» множества звезд. Но в действительности, слово «множество» не совсем подходит для того, чтобы описать то количество звезд, которые сконцентрированы в галактике. Так сколько же звезд в галактике?
Ответ на поставленный вопрос зависит от типа галактики. Самая маленькая галактика называется
Наша галактика — Млечный Путь — принадлежит к виду спиральных галактик. Они более массивны, чем относительно маленькие «карликовые» галактики и включают сотни миллиардов звезд. Например, наш Млечный Путь включает 200 миллиардов звезд — 200’000’000’000 звезд. Соседняя галактика Андромеды более массивна, чем Млечный Путь, и имеет уже 1 триллион звезд; в 5 раз больше звезд, чем Млечный Путь.
Самые огромные галактики Вселенной, возможно, известны Вам как эллиптические. Именно так они и обозначаются. Эти гиганты теряют свою спиральную форму посредством множественных взаимоотношений между большими галактиками. Они находятся в самом «ядре» кластера больших галактик. Самая большая из этих галактик, когда либо обнаруженная, находится в кластере Абелль 2009 (Abell 2029) и содержит 100 триллионов звезд. Чтобы было понятнее — это 100’000’000’000’000 звезд.
Только подумайте, существует 100 миллиардов галактик в доступной нам для обзора Вселенной. Когда Вы суммируете все данные, то получите 1024 звезд во всей Вселенной, 1 с 24 нулями. Короче говоря, 1’000’000’000’000’000’000’000’000 звезд.
Думаю, самое время оставить Вас наедине с этими цифрами для раздумий…
starmission.ru
Распределение звезд в Галактике
Лекция 18, 19 Строение Галактики.
Объекты, принадлежащие нашей Галактике
Через все небо тянется широкая светлая полоса Млечного Пути,
Многие звезды образуют группы, называемые звездными скоплениями. Хорошо известны такие близкие к нам звездные скопления, как Плеяды, Гиады, шаровое скопление в Геркулесе.
Помимо звезд и звездных скоплений в Галактике имеется большое количество разреженного газа с примесью небольших твердых частичек — пылинок. В некоторых областях Млечного Пути плотность этого вещества сильно возрастает, и оно образует множество диффузных газово-пылевых туманностей. Вблизи горячих звезд они светятся (светлые туманности), а вдали от них — остаются темными и выделяются на фоне ярких участков Млечного Пути благодаря вызываемому ими поглощению света ( темные пылевые туманности).
В Галактике имеется большое количество элементарных частиц, обладающих огромными энергиями и движущихся со скоростями, близкими к скорости света, — космические лучи. Наконец большую роль в Галактике играют магнитные и гравитационные поля и электромагнитное излучение.
Солнечная система находится внутри Галактики, но далеко от ее центра. Многие области Галактики удалены от нас на огромные расстояния, вплоть до 25 тыс. пс. Если учесть при этом, что в области Млечного Пути диффузная среда не позволяет наблюдать оптическими методами области дальше 3 килопарсеков (кпс), то станет очевидным, почему так трудно изучать строение Галактики и мы не можем сразу представить себе ее общего вида.
Знание расстояний до звезд позволяет подойти к изучению их распределения в пространстве, а следовательно, и структуры Галактики. Для того чтобы охарактеризовать количество звезд в различных частях Галактики, вводят понятие
Проще всего звездную плотность найти в непосредственной окрестности Солнца, так как для всех близких к нам звезд известны надежные значения тригонометрических параллаксов.
Результаты подсчетов показывают, что в окрестностях Солнца звездная плотность составляет около 0,12 звезды на кубический парсек, иными словами, на каждую звезду в среднем приходится объем свыше 8 пс3; среднее же расстояние между звездами — около 2 пс.
Чтобы узнать, как меняется звездная плотность в различных направлениях, подсчитывают число звезд на единице площади (например, на 1 квадратном градусе) в различных участках неба. Первое, что бросается в глаза при таких подсчетах, необычайно сильное увеличение концентрации звезд по мере приближения к полосе Млечного Пути, средняя линия которого образует на небе большой круг. Наоборот, по мере приближения к полюсу этого круга концентрация звезд быстро уменьшается. Этот факт уже в конце XVIII в. позволил В.Гершелю сделать правильный вывод о том, что наша звездная система имеет сплющенную форму, причем Солнце должно находиться недалеко от плоскости симметрии этого образования.
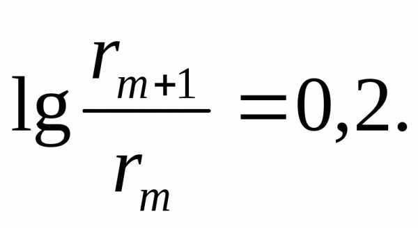
Второй важный вывод можно сделать, если производить подсчет не сразу всех звезд, а последовательно до каждого значения видимой звездной величины т, т.е. сначала найти число звезд, у которых видимая звездная величина т k, затем число звезд N k+1 с т k + 1 и т.д. Тогда обнаруживается, что с увеличением видимой звездной величины число звезд Nm возрастает в геометрической прогрессии. Если бы звездная плотность не менялась с расстоянием и все звезды имели бы одинаковую светимость, то это увеличение числа слабых звезд было бы простым следствием увеличения геометрических размеров областей, которые с больших расстояний проектируются на одну и ту же область неба. Действительно, все звезды с видимой звездной величиной, меньшей или равной
lg rm =1 + 0,2 (m M),
Аналогичное выражение получится для радиуса шарового сектора, в котором находятся все звезды с видимой звездной величиной, не превышающей m + 1. Вычитая их друг из друга, получим

При постоянной звездной плотности количества звезд должны быть пропорциональны объему пространства, т.е. кубу радиуса. Поэтому
|
или
|
Однако из наблюдений следует, что в действительности количество звезд возрастает с увеличением т не так быстро, а именно, для небольших значений т отношение близко к 3, а с увеличением т оно уменьшается, и для звезд 17m равно, примерно, 2.
Если бы светимости
всех звезд были одинаковыми, то по
наблюдаемому отношению
легко было бы определить изменение
звездной плотности по мере удаления от
Солнца. Действительно, при
= 4, с увеличением расстояния в 1,6 раза
(что соответствует переходу от звездной
величины т к т + 1) звездная
плотность была бы постоянна, а при
= 3 она убывала бы в отношении 3:4. Наблюдаемое
отношение
говорит о том, что по мере удаления от
Солнца в каждом данном направлении
звездная плотность убывает. Если в этом
направлении межзвездное поглощение
света несущественно, то можно оценить
протяженность нашей звездной системы
в этом направлении. В результате
оказывается, что Галактика ограничена.
Описанный принцип лежит в основе решения значительно более сложной задачи, учитывающей, что в действительности звезды имеют различные светимости, а наблюдения сильно искажены межзвездным поглощением света. Чтобы охарактеризовать, сколько в данной области пространства содержится звезд различных светимостей, вводят функцию светимости (М), которая показывает, какая доля от общего числа звезд имеет данное значение абсолютной звездной величины, скажем, от M до М + 1.
Если бы функция светимости нам была известна, то, несмотря на большую математическую сложность, задача определения звездной плотности на различных расстояниях принципиально ничем не отличалась бы от рассмотренного случая одинаковых светимостей звезд.
На практике в звездной астрономии приходится иметь дело с еще большими трудностями и на основании результатов подсчетов звезд находить как функцию светимости, так и зависимость звездной плотности от расстояния в данном направлении.
Зная звездную плотность на разных расстояниях и в различных направлениях, можно составить представление о структуре Галактики.
На рис. 220 представлена схема общей структуры Галактики. Из него видно, что она действительно является сплюснутой системой, симметричной относительно главной плоскости, называемой плоскостью Галактики. Большой круг, по которому она пересекается с небесной сферой, называется галактическим экватором. Он почти совпадает со средней линией Млечного Пути. Центр этой системы — центр Галактики — при наблюдении из Солнечной системы проектируется в созвездие Стрельца, в точку с координатами = 265° и = —29°. По направлению к центру Галактики, а также по мере приближения к ее плоскости звездная плотность возрастает.
Таким образом, распределение звезд в Галактике имеет две ярко выраженные тенденции: во-первых, очень сильно концентрироваться к галактической плоскости; во-вторых, концентрироваться к центру Галактики. Последняя тенденция усиливается по мере приближения к центральной части Галактики, называемой центральным сгущением Галактики или ядром.

Определяя расстояния, на которых происходит существенное падение звездной плотности, получаем представления о размеpax Галактики и о том месте, где примерно находится Солнце. Установлено, что Солнце удалено от центра Галактики на расстояние около 10 000 пс (10 кпс), а ее граница в направлении на антицентр находится на расстоянии 5000 пс от Солнца. Таким образом, диаметр Галактики составляет около 2 (10 000 + 5000) = 30 000 пс или 30 кпс. Точнее указать размеры Галактики нельзя, поскольку по мере удаления от ее центра звездная плотность убывает постепенно и не существует резкой границы.
Солнце расположено близ плоскости Галактики и удалено от нее к северу на расстояние около 25 пс.
Большинство галактических объектов занимает пространство в пределах тонкого плоского слоя. К ним относятся звезды ранних спектральных классов О и В, цефеиды, не принадлежащие шаровым скоплениям, сверхновые звезды второго типа, рассеянные звездные скопления, звездные ассоциации и темные (пылевые) туманности. О всех этих объектах говорят, что они образуют плоскую подсистему (или составляющую) Галактики (см. рис. 220). К ней концентрируется большинство звезд, образующих звездный диск. Как правило, это все молодые объекты.
Остальные объекты, например, новые звезды, звезды типа RV Тельца, долгопериодические переменные, белые карлики, звезды спектральных классов С и S, а также планетарные туманности располагаются в пределах более или менее сплюснутых эллипсоидов. Их выделяют в промежуточные подсистемы, так как предельными случаями эллипсоидов их распределения служат обе предыдущие составляющие.
Объекты, принадлежащие всем этим подсистемам, различаются также своими кинематическими характеристиками, т.е. средними значениями индивидуальных скоростей. Подобно тому как в более горячей атмосфере газ поднимается на большую высоту, так и в Галактике быстрее движущиеся объекты занимают объем менее сплюснутого эллипсоида.
В заключение важно отметить, что некоторые объекты (например, горячие звезды классов О и В) встречаются не всюду в плоскости Галактики, но преимущественно на определенных расстояниях от ее центра, образуя спиральную структуру, подобную структуре туманности Андромеды. Спиральное строение нашей Галактики подтверждается также результатами изучения распределения в ней диффузного вещества и магнитного поля.
studfiles.net
Галактика Млечный Путь. Движение звёзд в Галактике
Если посмотреть на небо в ясную безлунную ночь, подальше от городских огней, то можно увидеть звёздное небо во всей его красе. Его примечательным объектом является широкая светлая полоса, тянущаяся с запада на восток и являющаяся скоплением огромного числа звёзд и ярких туманностей. Эта полоса древними греками была названа Галактикой, что переводится как «млечный» или «молочный». Мы же с вами эту полосу называем Млечным Путём. Он проходит через оба полушария по большому кругу небесной сферы. Линия, идущая вдоль середины Млечного Пути, была названа галактическим экватором, а образующая его плоскость — галактической плоскостью, которая наклонена к плоскости небесного экватора под углом 63°.
Ещё Галилео Галилей в 1609 году обнаружил, что Млечный Путь является скоплением огромного числа слабых звёзд (порядка 200—400 миллиардов) и ярких туманностей. Все они вместе образуют гигантскую гравитационно-связанную систему тел — Галактику. Из числа этих объектов в состав Галактики не входит лишь слабо заметное туманное пятно, видимое в созвездии Андромеды и напоминающее по форме пламя свечи. Это туманность Андромеды.
Первая попытка построить модель нашей Галактики принадлежит Уильяму Гершелю. В 70-ых годах XVIII века он решил выборочно посчитать количество звёзд в разных направлениях от галактического экватора. Его подсчёты показали, что число звёзд резко убывает по обе стороны от галактической плоскости. Тогда он предположил, что слабые звёзды Млечного Пути вместе с более яркими образуют единую звёздную систему, по форме напоминающую диск конечных размеров.
В 1923 году в туманности Андромеды были обнаружены несколько ярких цефеид. Как мы помним, цефеиды — это обширный класс ярких пульсирующих переменных звёзд-сверхгигантов и гигантов классов F и G. Они являются своеобразными «маяками» Вселенной», так как по известному из наблюдений периоду пульсации можно определить их абсолютную звёздную величину. Сравнив абсолютную звёздную величину цефеида с его видимой звёздной величиной, можно определить и расстояние до него.
Так вот, оказалось, что туманность Андромеды располагается от нас на расстоянии немногим более двух миллионов световых лет. Это дало учёным основание предполагать, что это не просто туманность, а другая звёздная система, подобная нашей.
Дальнейшее изучение известных туманностей показало, что все они также являются гигантскими удалёнными системами, в которых находятся миллионы и миллиарды звёзд. Такие гигантские гравитационно-связанные системы звёзд и межзвёздного вещества, расположенные вне нашей Галактики, стали называть галактиками. Их сравнение с нашей звёздной системой позволило выявить многие черты её строения.
Согласно современным представлениям, наша Галактика имеет форму плоского линзообразного диска. Его диаметр составляет около 30 кпк, а толщина — около 4 кпк. Звёздный диск Галактики имеет структуру в виде спиральных ветвей — рукавов. В середине диска есть заметное утолщение — балдж (от английского слова «вздутие»). В центральной части Галактики располагается её ядро, скрытое от нас плотными газопылевыми облаками и звёздами.
Ядро представляет собой высокоплотный объект (вероятнее всего, сверхмассивную чёрную дыру), окружённый горячим радиоизлучающим газовым облаком диаметром не более 1,8 пк. По некоторым оценкам, масса галактического ядра в 4,31 ∙ 106 раз больше массы Солнца.
Часть звёзд нашей Галактики не входит в состав диска, а образует его сферическую составляющую — звёздное гало. Оно имеет сферическую форму и состоит в основном из очень старых звёзд, разреженного горячего газа и тёмной материи. Гало выходит за пределы Галактики на 5—10 тысяч световых лет.
Масса всей Галактики оценивается примерно в полтриллиона масс Солнца.
Исследование звёзд в нашей звёздной системе показало, что в ней есть как и очень молодые звёзды (возрастом около 100 тысяч лет), так и очень старые звёзды, возраст которых сравним с возрастом самой Галактики (13,2 млрд лет).
Основными структурными составляющими нашей звёздной системы являются звёздные скопления. Так принято называть гравитационно-связанные группы звёзд, которые имеют общее происхождение и движутся в поле тяготения Галактики как одно целое.
По внешнему виду они делятся на две группы: рассеянные и шаровые скопления.
Рассеянное звёздное скопление — это не имеющая правильной формы сравнительно неплотная группа, содержащая от нескольких десятков до нескольких тысяч звёзд, образованных из одного молекулярного облака и имеющих примерно одинаковый возраст.
В нашей Галактике обнаружено более 1100 рассеянных скоплений вблизи галактического центра. Однако считается, что их может быть гораздо больше. Типичный возраст рассеянных скоплений оценивается в несколько сотен миллионов лет, и состоят они в основном из бело-голубых звёзд главной последовательности.
Самыми известными рассеянными скоплениями, видными невооружённым глазом, являются Плеяды, Гиады и Скопление Альфа Персея.
Шаровым скоплением называется звёздное скопление, в котором содержится до миллиона звёзд, тесно связанных гравитацией. Они обладают симметричной сферической формой и характеризуются увеличением концентрации звёзд к центру скопления.
Шаровые скопления образуют протяжённое гало вокруг центра Галактики, сильно концентрируясь к нему. На 2017 год открыто 158 шаровых скоплений. Их звёздное население состоит из давно проэволюционировавших звёзд — красных гигантов и сверхгигантов. Возраст шаровых скоплений может достигать 11—13 миллиардов лет.
В июне 2011 года стало известно об открытии нового класса скоплений в созвездии Лиры (NGC 6791), который сочетает в себе признаки и шаровых, и рассеянных скоплений.
Группы звёзд, которые не связаны силами гравитации, или слабосвязанных молодых звёзд, объединённых общим происхождением, называют звёздными ассоциациями.
Таким образом, существование в Галактике звёздных скоплений и ассоциаций различных возрастов указывает на то, что звёзды формируются не в одиночку, а группами, а сам процесс звёздообразования продолжается и по сей день.
Мы уже с вами знаем, что долгое время видимые на небе звёзды считались неподвижными объектами. Лишь в 1718 году английский астроном Эдмунд Галлей решил сравнить положения звёзд его времени с теми, которые были описаны ещё в каталоге Гиппарха во II в. до н. э. Каково же было удивление учёного, когда он обнаружил, что яркие звёзды Сириус и Порцион сместились примерно на 0,7о. А у Арктура это смещение составило более 1о.
На основании этих данных Галлей выдвинул предположение о том, что звёзды движутся в пространстве относительно Солнца. Скорость, с которой движется звезда в пространстве относительно Солнца, называется пространственной скоростью. В общем случае вектор пространственной скорости направлен под некоторым углом к лучу зрения наблюдателя.
Разложим пространственную скорость на две составляющих: по направлению луча зрения (лучевая скорость) и перпендикулярную лучу зрения (тангенциальная скорость).
Их модули могут быть связаны друг с другом соотношением:
Скорость звезды по лучу зрения определяется по эффекту Доплера — смещению линий в её спектре:
А тангенциальную составляющую определяют по непосредственному смещению звезды на фоне далёких звёзд:
В записанном уравнении μ — это собственное движение звезды, то есть её видимое угловое смещение за год по отношению к слабым далёким звёздам.
Для примера определим тангенциальную и пространственную скорости Альтаира, если его годичный параллакс равен 0,198’’. Собственное движение звезды равно 0,658’’, а лучевая скорость –26,3 км/с. (Знак минус указывает на то, что звезда приближается к нам).
В настоящее время смещения звёзд определяют по фотографиям одного и того же участка неба, сделанных с интервалом несколько лет и даже десятков лет. Но даже в этом случае смещение большинства звёзд очень невелико. И чтобы его определить, используют специальные микроскопы. Но на протяжении десятков тысяч лет собственные движения звёзд существенно сказываются на их положении, вследствие чего меняются привычные нам очертания созвездий.
Анализ собственных движений звёзд привёл к обнаружению движения и нашего Солнца. Оказалось, что оно движется к точке в созвездии Геркулеса со скорость около 19,4 км/с. Эта точка называется апексом Солнца. Соответственно, диаметрально противоположная ей точка называется антиапексом.
Также изучение лучевых скоростей звёзд в различных направлениях от Солнца позволило профессору Казанского университета Мариану Альбертовичу Ковальскому в 1857 году доказать вращение нашей звёздной системы и сформулировать законы этого вращения. Оказалось, что все звёзды диска Галактики обращаются вокруг её ядра по орбитам, близким к круговым, по ходу часовой стрелки (если смотреть на Галактику со стороны её северного полюса). При этом угловая скорость вращения убывает по мере удаления от центра. А вот линейная скорость вращения сначала возрастает с удалением от центра Галактики, достигая максимума (около 220 км/с) на расстоянии Солнца, после чего очень медленно начинает убывать. Так, например, наше Солнце совершает один оборот вокруг ядра Галактики примерно за 220 миллионов лет.
videouroki.net
Звезды и галактики
Вопросами о том, откуда произошли и как будут дальше развиваться звезды и галактики интересуются не только астрономы и физики, но и философы, которые обобщают различные концепции и делают свои собственные выводы. Гипотез, которые объясняют те или иные стороны данного процесса было придумано достаточно много, но подавляющее большинство из них не являются целостными. Это материалистические, религиозные и эзотерические теории, которые принципиально отличаются подходом к вопросу и выводами. На данный момент самой большой популярностью пользуются гипотезы, основанные на астрономических наблюдениях и на математических и физических обобщениях.
Большая часть современных астрономов считают, что звезды в галактиках возникали вследствие сгущения так называемой диффузной материи. Основанием для этой теории является то, что звезды, которые считаются «молодыми», неразрывно связаны с пылью и газом. В процессе развития галактик диффузная материя накапливается в спиралевидных ветвях и способствует появлению новых образований.
На данный момент местами самого активного звездообразования считаются известные среди астрономов газово-пылевые комплексы, которые представляют собой массы межзвездного вещества. Самым хорошо изученным в нашей галактике сегодня считается комплекс, находящийся в созвездии Ориона, который включает в себя достаточно большое количество объектов.
Представления об образовании звезд сейчас состоят примерно в следующем. Газово-пылевое облако сжимается силами тяготения и вследствие этого принимает форму, напоминающую шар. В процессе сжатия увеличиваются такие параметры, как температура и плотность, что ведет к появлению протозвезды. Несмотря на сравнительно низкую температуру, такой объект уже способен излучать в диапазоне инфракрасных волн. Термоядерных реакций при этом еще не происходит, так как главного источника энергии пока нет. Они начинают появляться только при дальнейшем увеличении температуры до величины примерно 107К.
Хоть происхождение галактик и звезд сейчас привлекает к себе много внимания и интенсивно изучается, единой концепции, которая отображала бы все стороны вопроса, пока не существует. Это связано не с отсутствием нужной информации, а с ее разрозненностью. Материалисты не считают нужным обращать внимания на эзотерические и философские теории, а идеалисты считают физическую сторону только отражением истинного процесса. По-настоящему прояснить ситуацию может объединение разных гипотез и их критическое осмысление. Задача это достаточно сложная, так как предполагает переосмысление уже хорошо известных фактов и теорий, поэтому она требует участия открытых для новой информации мыслящих людей.
См. также:
Солнечная система
О звездах
Созвездия
space-my.ru
Космос, галактики, звезды
В ясную погоду можно насчитать на небосводе до трех тысяч звезд. Но это лишь очень небольшая часть тех звезд и других космических объектов, которые существуют в нашей области мира.
В безлунные ночи хорошо виден Млечный Путь, протянувшийся от одной стороны горизонта до другой. Он кажется скоплением светящихся туманных масс. Но стоит направить на Млечный Путь телескоп, и мы сразу обнаружим, что он состоит из множества звезд. Эта звездная система, к которой принадлежит и наше Солнце, получила название Галактики
Изучать нашу Галактику необычайно сложно. Это одна из труднейших задач науки. Ведь мы находимся внутри этой Галактики и не можем ни вылететь за ее пределы, ни побывать в различных ее точках. Тем не менее, наука преодолевает эти трудности.
И сегодня мы уже достаточно уверенно можем говорить о том, как же выглядит наш звездный остров. В центре его находится ядро, окруженное множеством звезд. От него отходит несколько могучих спиральных ветвей.
Наша Галактика столь велика, что ее размеры нелегко себе представить: от одного ее края до другого световой луч путешествует около 100 тысяч земных лет.
Большая часть звезд нашей Галактики сосредоточена в гигантском «диске» толщиной около 1500 световых лет. На расстоянии около 30 тысяч световых лет от центра Галактики расположено наше Солнце.
Основное «население» Галактики — звезды. Мир этих небесных тел необыкновенно разнообразен. И хотя все звезды — раскаленные шары, подобные Солнцу, их физические характеристики различаются весьма существенно. Есть, например, звезды гиганты и сверхгиганты. По своей величине они значительно превосходят Солнце.
Еще большей плотностью обладают так называемые нейтронные звезды. Нейтронная звезда — это громадное атомное ядро. Существование нейтронных звёзд было теоретически предсказано еще в 30-х годах. Однако обнаружить их удалось только в 1967 году по необычному импульсному радиоизлучению.
Звезды обладают различными поверхностными температурами — от нескольких тысяч до десятков тысяч градусов. Различен и цвет звезд. Сравнительно «холодные» звезды — с температурой около 3-4 тыс. градусов — красноватого цвета. Наше Солнце, поверхность которого «нагрета» до 6 тысяч градусов, обладает желто-зеленым цветом. Самые горячие звезды — с температурой, превосходящей 10 — 12 тысяч градусов, — белые и голубоватые.
Температура поверхности Солнца составляет около 6000 C0.
Звезды обычно кажутся нам неподвижными. Но это лишь видимость. Так, нам кажется, что Солнце движется по небу относительно неподвижной Земли, а на самом деле наша планета вращается вокруг дневного светила. Нам кажется, что Солнце и Луна имеют примерно одинаковые размеры, а в действительности Солнце во много раз больше естественного спутника Земли, но расположено гораздо дальше Луны.
Движутся и звезды. Но для того чтобы заметить их перемещение, надо сравнивать положение звезд на небе через достаточно длительные промежутки времени, например через десятки лет.
Один из самых грандиозных физических процессов во Вселенной — вспышки так называемых новых и сверхновых звезд. В действительности звезда существует и до вспышки. Но в какой-то момент под действием бурных физических процессов такая звезда неожиданно увеличивается в объеме, «раздувается», сбрасывает свою газовую оболочку и в течение нескольких суток выделяет чудовищную энергию, светя, как миллиарды солнц. Затем, исчерпав свои ресурсы, эта звезда постепенно тускнеет, а на месте вспышки остается газовая туманность.
Наше Солнце — «одинокая» звезда. Она лишена подобных себе горячих спутников. Но во Вселенной есть двойные, тройные и более сложные звездные системы, члены которых связаны друг с другом силами взаимного притяжения и обращаются вокруг общего центра масс. Некоторые скопления содержат десятки, сотни и тысячи звезд. А число звезд в больших шаровых скоплениях достигает даже сотен тысяч.
Межзвездное пространство тоже не пусто. Оно заполнено газовыми и пылевыми частицами, которые в некоторых местах образуют гигантские облака — туманности, светлые и темные.
Звезды, составляющие Галактику, движутся вокруг ее центра по очень сложным орбитам. С огромной скоростью — около 250 км/сек. несется в мировом пространстве и наше Солнце, увлекая за собой свои планеты. Солнечная система совершает один полный оборот вокруг галактического центра за 180 млн. лет.
Ближайшие к нашей Галактике звездные системы удалены от нас на расстояние около 150 тыс. световых лет. Они видны на небе Южного полушария как маленькие туманные пятнышки.
Наша Галактика и другие соседние звездные системы образуют Местную систему галактик. В ее состав входит 16 галактик, а поперечник ее равен 2 млн. световых лет. Исследования показывают, что звездные острова, галактики — типичные объекты Вселенной. Астрономам теперь известно великое множество галактик во всех участках небесной сферы.
Галактики имеют разнообразную форму и строение. Есть галактики шаровые и эллиптические, галактики в форме диска, спиралевидные, подобно нашей, наконец, галактики неправильной формы. В области, доступной современным средствам астрономических исследований, насчитываются миллиарды галактик. Их совокупность ученые назвали Метагалактикой.
Вселенная — это вовсе не простая совокупность небесных тел, в ней постоянно происходят чрезвычайно сложные и многообразные физические процессы.
И именно с этой точки зрения изучение Вселенной представляет наибольший интерес для современного естествознания. Космос — бесконечно разнообразная лаборатория, где можно изучать такие состояния материи, такие физические условия и процессы, которые недостижимы у нас на Земле.
Стремительный прогресс науки и техники в период научно — технической революции, современниками которой мы являемся, ведет ко все новым и новым открытиям, все более глубокому проникновению в самые сокровенные тайны природы, к дальнейшему познанию фундаментальных законов мироздания. И Вселенная в наше время становится все более важным источником уникальной информации о явлениях природы.
Галактики разбегаются от нас во всех направлениях и, чем дальше находится та или иная галактика, тем с большей скоростью она движется. Происходит общее расширение Метагалактики, которое совершается таким образом, что скорость взаимного удаления двух звездных систем тем выше, чем больше расстояние между ними.
Картину взаимного разбегания галактик можно мысленно повернуть вспять, и тогда мы придем к выводу, что в отдаленном прошлом, около 15-20 миллиардов лет назад, материя находилась в ином состоянии, нежели в нашу эпоху. Тогда не было еще ни звезд, ни планет, ни туманностей, ни галактик. Вся материя была сосредоточена в очень плотном компактном сгустке горячей плазмы — смеси элементарных частиц вещества и излучения. Затем произошел взрыв этого сгустка и началось его расширение, в процессе которого образовались сначала атомы, а затем звезды, галактики и все другие космические объекты.
Так возникла теория расширяющейся Вселенной — одна из наиболее впечатляющих научных теорий XX столетия. Представления о неизменной, стационарной Вселенной уступили место новым представлениям о Вселенной, меняющейся с течением времени. Это был новый, чрезвычайно важный шаг в познании свойств окружающего нас мира. Дальнейшие исследования показали, что различные нестационарные явления вообще играют важную роль в современной Вселенной.
Теория предсказывала, что, когда в процессе расширения температура среды упадет до нескольких тысяч градусов, она станет прозрачной для электромагнитных волн. Тогда электромагнитное излучение как бы «оторвется» от вещества и постепенно заполнит все пространство Вселенной. И действительно, в середине 60-х годов реликтовое излучение удалось зарегистрировать.
Исследование его физических свойств показало, что первоначальное вещество действительно обладало чрезвычайно высокой температурой. Тем самым было получено наблюдательное подтверждение справедливости теории горячей расширяющейся Вселенной. Существование реликтового излучения — очень важное, решающее подтверждение того фундаментального факта, что мы, в самом деле, живем в расширяющейся Метагалактике.
Следовательно, Вселенная не всегда была такой, как в современную эпоху. Она изменяется с течением времени; ее прошлое не тождественно настоящему, а настоящее — будущему. Таким образом, когда-то нашей Вселенной вообще не существовало, хотя и тогда была материя, из которой она впоследствии образовалась. Материальный мир вечен, а Вселенная — его часть, выделенная человеком. В процессе своей познавательной и практической деятельности человек выделяет, вычленяет из бесконечно разнообразного материального мира определенные объекты, явления, связи, взаимодействия. Это как бы конечный «срез» бесконечно разнообразного мира — наша Вселенная, или, как ее иногда называют Вселенная естествоиспытателя.
Если в первой половине XX столетия астрофизики интересовались главным образом изучением тех свойств космических объектов, которые характеризуют их современное состояние, то в последние десятилетия астрофизика превратилась в эволюционную науку, в центре внимания которой находятся закономерности происхождения и развития космических объектов.
Если мы будем знать закономерности эволюционных процессов, то сможем прогнозировать развитие космических явлений и будущие состояния космических объектов, исходя из их современных состояний. А это задача, имеющая не только чисто теоретическое, но и огромное практическое значение: ведь в физическом отношении мы сами являемся частью Вселенной и наше существование тесно связано с «космической обстановкой».
В современной астрофизике существуют две основные концепции по возникновению и развитию космических объектов. Одна из них, наиболее распространенная, — ее часто называют «классической» — исходит из того, что космические объекты образуются в результате сгущения конденсации рассеянного диффузного вещества — газа и пыли. Согласно другой концепции, развиваемой известным советским ученым академиком В. А. Амбарцумяном, космические объекты возникают в результате распада на части, фрагментации плотных или сверхплотных «прототел», сгустков «дозвездного» вещества. Какая из этих гипотез более справедлива — покажут будущие исследования.
В 1963 году на очень больших расстояниях от нашей Галактики, на границах наблюдаемой Вселенной, были обнаружены удивительные объекты, получившие впоследствии название квазаров. При сравнительно небольших размерах, квазары выделяют колоссальную энергию, примерно в 100 раз превосходящую энергию излучения самых гигантских галактик, состоящих из десятков и сотен миллиардов звезд.
Оказывается, чем дальше от нас находится тот или иной космический объект, тем в более отдаленном прошлом мы его наблюдаем. Это связано с конечной скоростью распространения света. Хотя она и составляет 300 тысяч км/сек. даже при такой огромной скорости для преодоления космических расстояний необходимы долгие годы, десятки, сотни, миллионы и миллиарды лет. Поэтому, глядя на небо, мы видим космические объекты — Солнце, планеты, звезды, галактики в прошлом. Причем различные объекты — в разном прошлом. Например, Полярную звезду — такой, какой она была около шести веков назад.
Все это говорит о том, что излучение квазаров и активность ядер галактик связаны со сходными физическими процессами. Однако вопрос о природе этих процессов все еще остается открытым.
Еще один очень интересный вопрос, связанный с изучением Вселенной, — геометрические свойства пространства, его конечность или бесконечность. Эту проблему пытались решить еще великие философы древности.
В прошлом понятие Вселенной отождествлялось с понятием материального мира. И когда речь шла о конечности или бесконечности Вселенной, то фактически рассматривался вопрос о конечности или бесконечности материальною мира.
На протяжении истории науки представления о геометрических свойствах пространства менялись не раз. Аристотель и Птолемей ограничивали мир «сферой неподвижных звезд», классическая физика Ньютона, наоборот, приходила к выводу о бесконечности мирового пространства. И лишь с возникновением теории относительности А. Эйнштейна появилась возможность более глубоко разобраться в существе этой проблемы. Если физика Ньютона рассматривала пространство как простое вместилище небесных тел, то А. Эйнштейну удалось вскрыть тесную связь между геометрией пространства и материей.
Таким образом, пространство, в котором мы живем, искривлено. А в искривленном мире «неограниченность» и «бесконечность» — не одно и то же. Оказывается, неограниченное пространство, то есть пространство, не имеющее «края», границы, в то же время может быть конечным, как бы замкнутым в себе.
Что касается мирового пространства, то его неограниченность не вызывает сомнения. Мир — это материя, а материя не может иметь границ в том смысле, что за материальным миром может располагаться нечто нематериальное. И это, разумеется, принципиальный философский вопрос — вопрос о материальном единстве мира.
Что же касается его конечности или бесконечности, то этот вопрос могут решить только конкретные науки — астрономия и физика.
Современные средства астрономических наблюдений — мощные телескопы и радиотелескопы — охватывают огромную область пространства радиусом около 12 миллиардов световых лет.
Развитие астрономии в XX веке выявило тесную взаимосвязь и взаимозависимость между существованием жизни на Земле и свойствами Вселенной. В физическом отношении человечество является частью Вселенной и подчиняется действующим в ней физическим и другим закономерностям. В частности, само возникновение жизни на Земле обусловлено всем ходом эволюции материи во Вселенной, эволюции, на определенном этапе которой сложились условия, сделавшие возможным образование живых структур.
Таким образом, в широком смысле слова Вселенная является средой нашего обитания. Поэтому немаловажное значение для практической деятельности человечества имеет то обстоятельство, что во Вселенной господствуют необратимые физические процессы, что она изменяется с течением времени. Человек приступил к освоению космоса, наши свершения приобретают все больший размах, глобальные и даже космические масштабы. И для того, чтобы учесть их близкие и отдаленные последствия, те изменения, которые они могут внести в состояние среды нашего обитания, в том числе и космической, мы должны принимать во внимание не только земные процессы, но и закономерности космического масштаба.
www.o8ode.ru


